Free Access
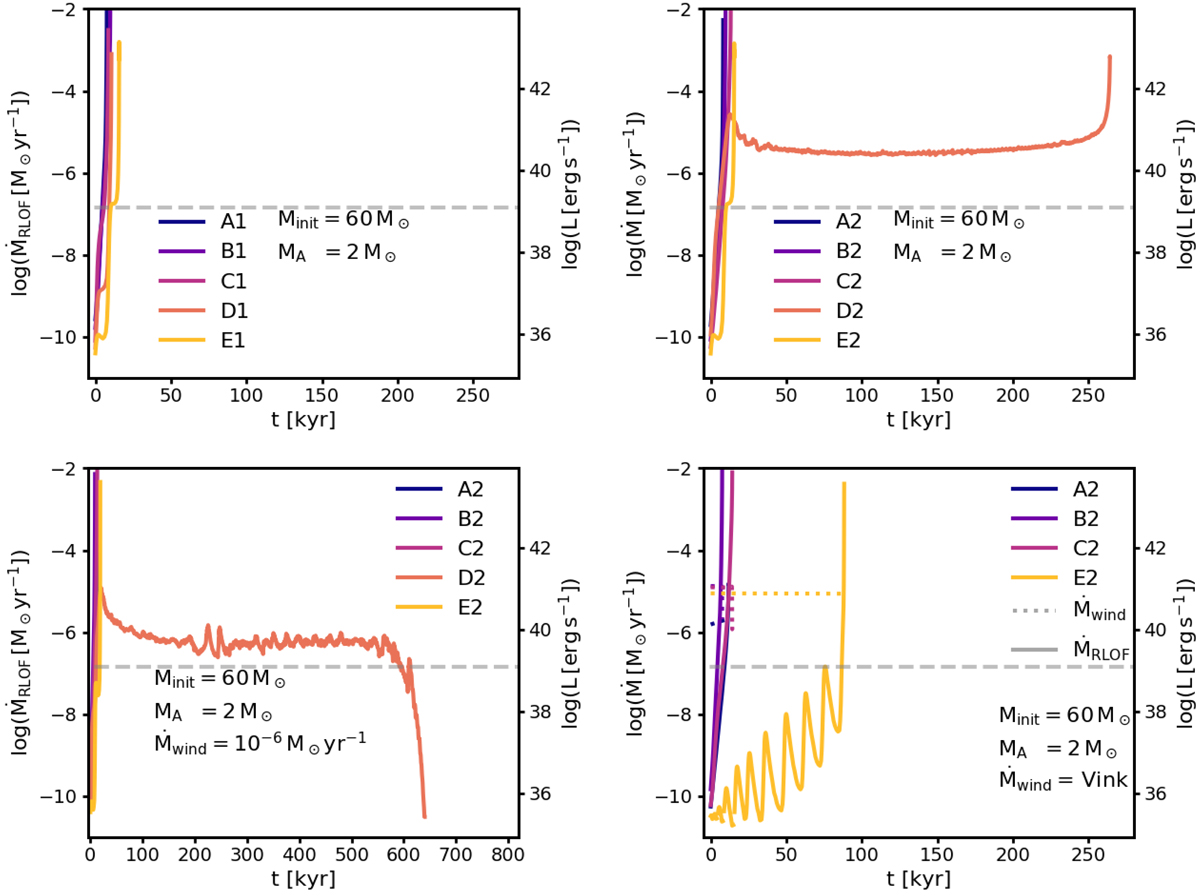
Fig. B.1.

Evolution of the mass-transfer rate for three initial models and an NS accretor. The right axis in indicates the X-ray luminosity corresponding to the mass-transfer rate (not Eddington limited) assuming an accretion efficiency of η = 0.15. The dashed line indicates the Eddington-accretion limit of the accretor.
Current usage metrics show cumulative count of Article Views (full-text article views including HTML views, PDF and ePub downloads, according to the available data) and Abstracts Views on Vision4Press platform.
Data correspond to usage on the plateform after 2015. The current usage metrics is available 48-96 hours after online publication and is updated daily on week days.
Initial download of the metrics may take a while.