Free Access

Fig. 2

image

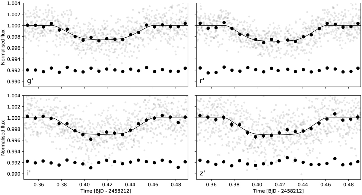
Transit light curves of EPIC 212036875 b obtained with MuSCAT2 (TCS) in g′ (upper left), r′ (upper right), i′ (lower left), and z′ (lower right) filters. The black solid line is the best-fit model accounting for the de-trending and transit components. The residuals are plotted in the lower portion of each plot.

Current usage metrics show cumulative count of Article Views (full-text article views including HTML views, PDF and ePub downloads, according to the available data) and Abstracts Views on Vision4Press platform.

Data correspond to usage on the plateform after 2015. The current usage metrics is available 48-96 hours after online publication and is updated daily on week days.

Initial download of the metrics may take a while.