Free Access

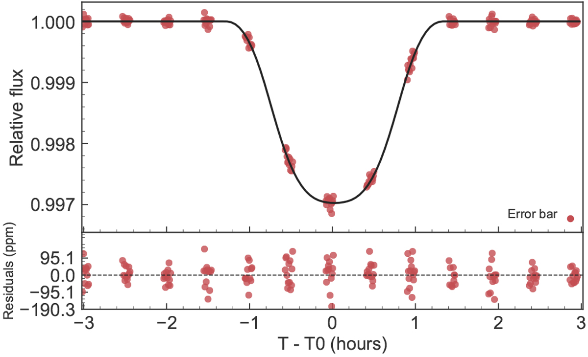
Fig. 5

image

Transit light curve folded to the orbital period of EPIC 212036875 b. The K2 photometric data is indicated with the red points, and the best-fit transit model with the solid black line. The residuals of the fit are shown in the lower panel.

Current usage metrics show cumulative count of Article Views (full-text article views including HTML views, PDF and ePub downloads, according to the available data) and Abstracts Views on Vision4Press platform.

Data correspond to usage on the plateform after 2015. The current usage metrics is available 48-96 hours after online publication and is updated daily on week days.

Initial download of the metrics may take a while.