Free Access

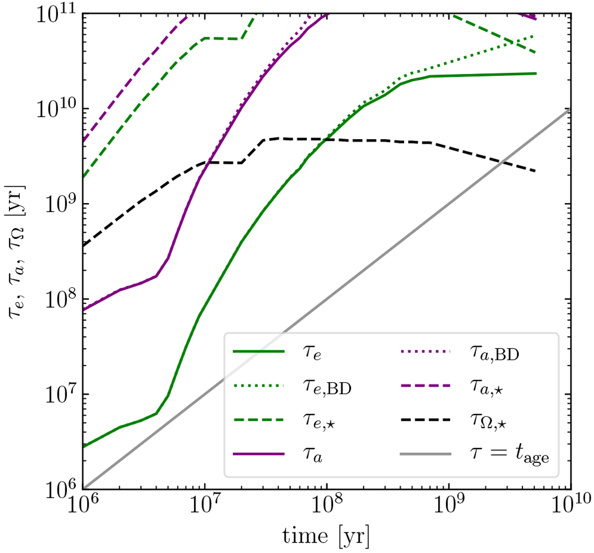
Fig. 7

image

Timescales for tidal orbital circularisation τe, semi-major axis decay τa, and stellar spin evolution, τΩ,⋆. The contributions from the star and the brown dwarf as given by Eqs. (1)–(4) are shown, as well as the net effect, taking quality factors and . The diagonal line marks where the timescale at a given age is equal to the system’s age.

Current usage metrics show cumulative count of Article Views (full-text article views including HTML views, PDF and ePub downloads, according to the available data) and Abstracts Views on Vision4Press platform.

Data correspond to usage on the plateform after 2015. The current usage metrics is available 48-96 hours after online publication and is updated daily on week days.

Initial download of the metrics may take a while.