Table 5
Priors to the pyaneti model of EPIC 212036875 b and results.
| Parameter | Units | Priors (a) | Final value |
|---|---|---|---|
| Fitted parameters | |||
| T0 | Transit epoch (BJDTDB − 2 450 000) | 8098.6791 ± 0.0002 | |
| Porb | Orbital period (days) | 5.16992 ± 0.00002 | |
| e | Eccentricity | 0.134 ± 0.002 | |
| ω | Argument of periastron (degrees) | 163 ± 1 | |
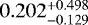
| b | Impact parameter | ||
| a ∕ R⋆ | Scaled semi-major axis | 9.2 ± 0.2 | |
| RBD ∕ R⋆ | Scaled brown dwarf radius | 0.0608 ± 0.0009 | |
| K | Doppler semi-amplitude variation (km s−1) | 5.289 ± 0.013 | |
| q1 | Parameterised limb-darkening coefficient | 0.41 ± 0.10 | |
| q2 | Parameterised limb-darkening coefficient | 0.26 ± 0.10 | |
| Derived parameters | |||
| MBD | Brown dwarf mass (MJ) | … | 51 ± 2 |
| RBD | Brown dwarf radius (RJ) | … | 0.83 ± 0.03 |
| i (b) | Inclination (degrees) | … | 83.9 ± 0.2 |
| a | Semi-major axis (AU) | … | 0.060 ± 0.003 |
| F | Insolation (F⊕) | … | 740 ± 50 |
| ρ⋆ (c) | Stellar density (g cm−3) | … | 0.55 ± 0.04 |
| ρBD | Brown dwarf density (g cm−3) | … | |
| log(gBD) | Brown dwarf surface gravity (cgs) | … | 5.23 ± 0.02 |
| Teq (d) | Equilibrium temperature (K) | … | 1450 ± 30 |
| T14 | Total transit duration (h) | … | 2.17 ± 0.01 |
| T23 | Full transit duration (h) | … | 0.76 ± 0.09 |
| u1 | Linear limb-darkening coefficient | … | 0.33 ± 0.14 |
| u2 | Quadratic limb-darkening coefficient | … | 0.30 ± 0.13 |
| Additional parameters | |||
| γ1 | Systemic velocity FIES1 (km s−1) | − 21.26 ± 0.03 | |
| γ2 | Systemic velocity FIES2 (km s−1) | − 21.33 ± 0.16 | |
| γ3 | Systemic velocity FIES3 (km s−1) | − 21.30 ± 0.01 | |
| σF1 | RV jitter FIES1 (km s−1) | ||
| σF2 | RV jitter FIES2 (km s−1) | ||
| σF3 | RV jitter FIES3 (km s−1) | ||
| σtr | Light curve jitter | 0.000025 ± 0.000005 | |
Notes. (a)
[a,b] refers to uniform priors in the range a–b, and
[a,b] refers to Gaussian priors with mean a and standard deviation b. (b) Orbit inclination relative to the plane of the sky. (c)Density from pyaneti transit modelling. Density from adopted stellar mass and radius is 0.58 ± 0.08 g cm−3. (d) Assuming isotropic re-radiation and a Bond albedo of zero. For example, by increasing the albedo to 0.3 and 0.6, we find Teq ≈ 1310 and 1140 K, respectively.
Current usage metrics show cumulative count of Article Views (full-text article views including HTML views, PDF and ePub downloads, according to the available data) and Abstracts Views on Vision4Press platform.
Data correspond to usage on the plateform after 2015. The current usage metrics is available 48-96 hours after online publication and is updated daily on week days.
Initial download of the metrics may take a while.