Open Access

Fig. 1

image

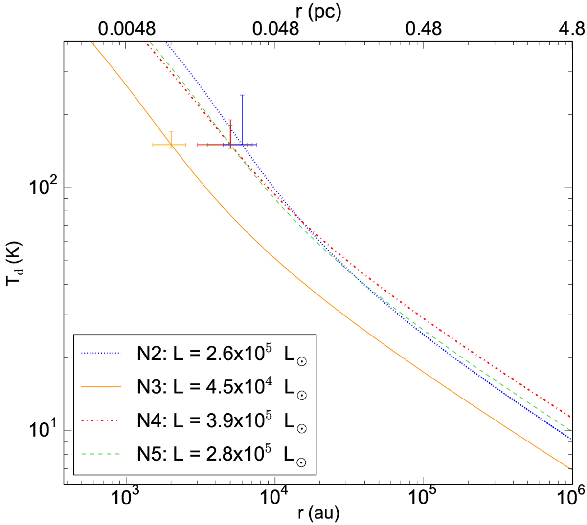
Dust temperature profiles computed for Sgr B2(N2-N5) using RADMC-3D, assuming a dust mass density distribution proportional to r−1.5 (Fig. F.2). The observational constraint Td(r0) = T0 used to estimate the current luminosity of each source is plotted with errorbars (1σ).

Current usage metrics show cumulative count of Article Views (full-text article views including HTML views, PDF and ePub downloads, according to the available data) and Abstracts Views on Vision4Press platform.

Data correspond to usage on the plateform after 2015. The current usage metrics is available 48-96 hours after online publication and is updated daily on week days.

Initial download of the metrics may take a while.