Open Access

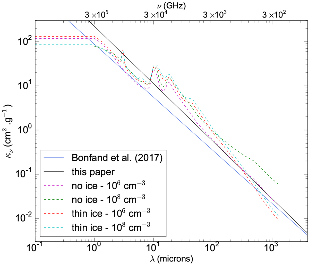
Fig. F.1

image

Dust mass opacity spectra for a standard gas-to-dust mass ratio of 100. The dashed lines show the results of Ossenkopf & Henning (1994)’s simulations after 105 yr of dust coagulation with gas densities of 106 cm−3 and 108 cm−3 and for dust grains without ice mantle and with thin ice mantle. The blue solid line shows the κν (of gas) usedto compute H2 column densities in Bonfand et al. (2017). The black solid line shows the κν (of gas)used in this paper, computed with Eq. (4), and based on Ossenkopf & Henning (1994)’s model for grains without ice mantle and for gas densities of 106 cm−3 (magenta dashed line).

Current usage metrics show cumulative count of Article Views (full-text article views including HTML views, PDF and ePub downloads, according to the available data) and Abstracts Views on Vision4Press platform.

Data correspond to usage on the plateform after 2015. The current usage metrics is available 48-96 hours after online publication and is updated daily on week days.

Initial download of the metrics may take a while.