Open Access

Fig. 9

image

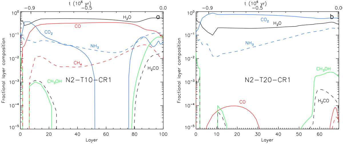
Panel a: composition of the ice-mantles built up during the cold quasi-static contraction phase prior to the free-fall collapse for the model N2-T10-CR1. Panel b: same as a but for the model N2-T20-CR1.

Current usage metrics show cumulative count of Article Views (full-text article views including HTML views, PDF and ePub downloads, according to the available data) and Abstracts Views on Vision4Press platform.

Data correspond to usage on the plateform after 2015. The current usage metrics is available 48-96 hours after online publication and is updated daily on week days.

Initial download of the metrics may take a while.