Open Access

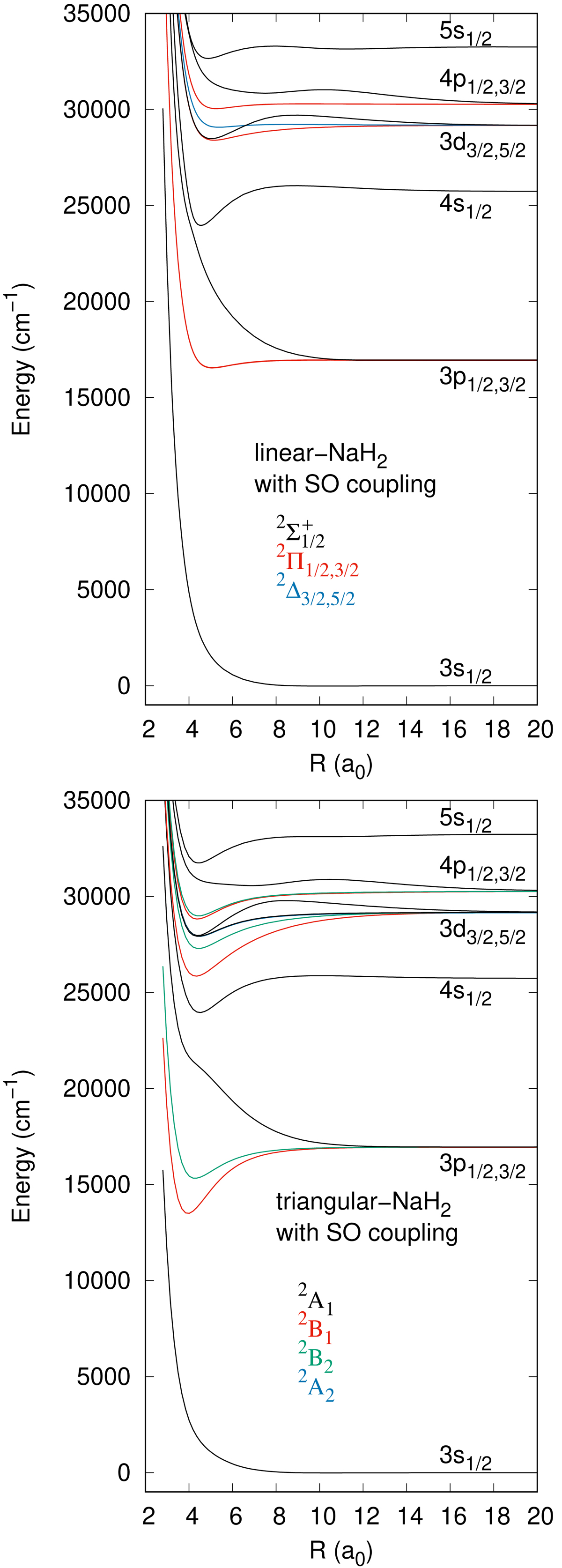
Fig. 1.

image

Potential curves of the Na–H2 molecule for the Cv (top) and C2v symmetries (bottom). For the C2v case, the symmetry labeling corresponds to the convention of the reference plane as that containing the molecule and may be different from that of previous publications. We note that states 12A2 and 42A1 correlated with the 3d asymptote are superimposed at the scale of the figure.

Current usage metrics show cumulative count of Article Views (full-text article views including HTML views, PDF and ePub downloads, according to the available data) and Abstracts Views on Vision4Press platform.

Data correspond to usage on the plateform after 2015. The current usage metrics is available 48-96 hours after online publication and is updated daily on week days.

Initial download of the metrics may take a while.