Open Access

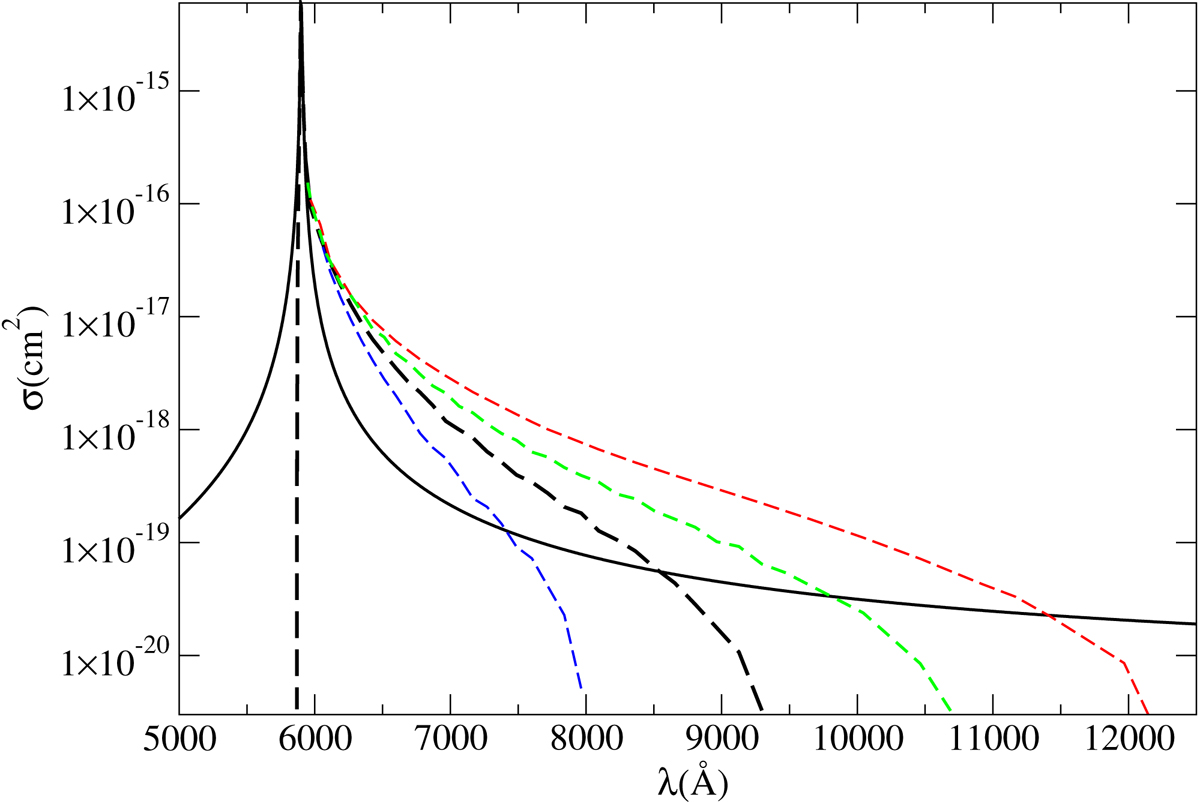
Fig. 9.

image

Variation of the absorption cross sections of the 3s-3p D1 line component with temperature (from top to bottom T = 2500, 1500, 1000, and 600 K) for nH2 = 1021 cm−3. The Lorentzian profile for 1000 K is overplotted (black full line).

Current usage metrics show cumulative count of Article Views (full-text article views including HTML views, PDF and ePub downloads, according to the available data) and Abstracts Views on Vision4Press platform.

Data correspond to usage on the plateform after 2015. The current usage metrics is available 48-96 hours after online publication and is updated daily on week days.

Initial download of the metrics may take a while.