Free Access

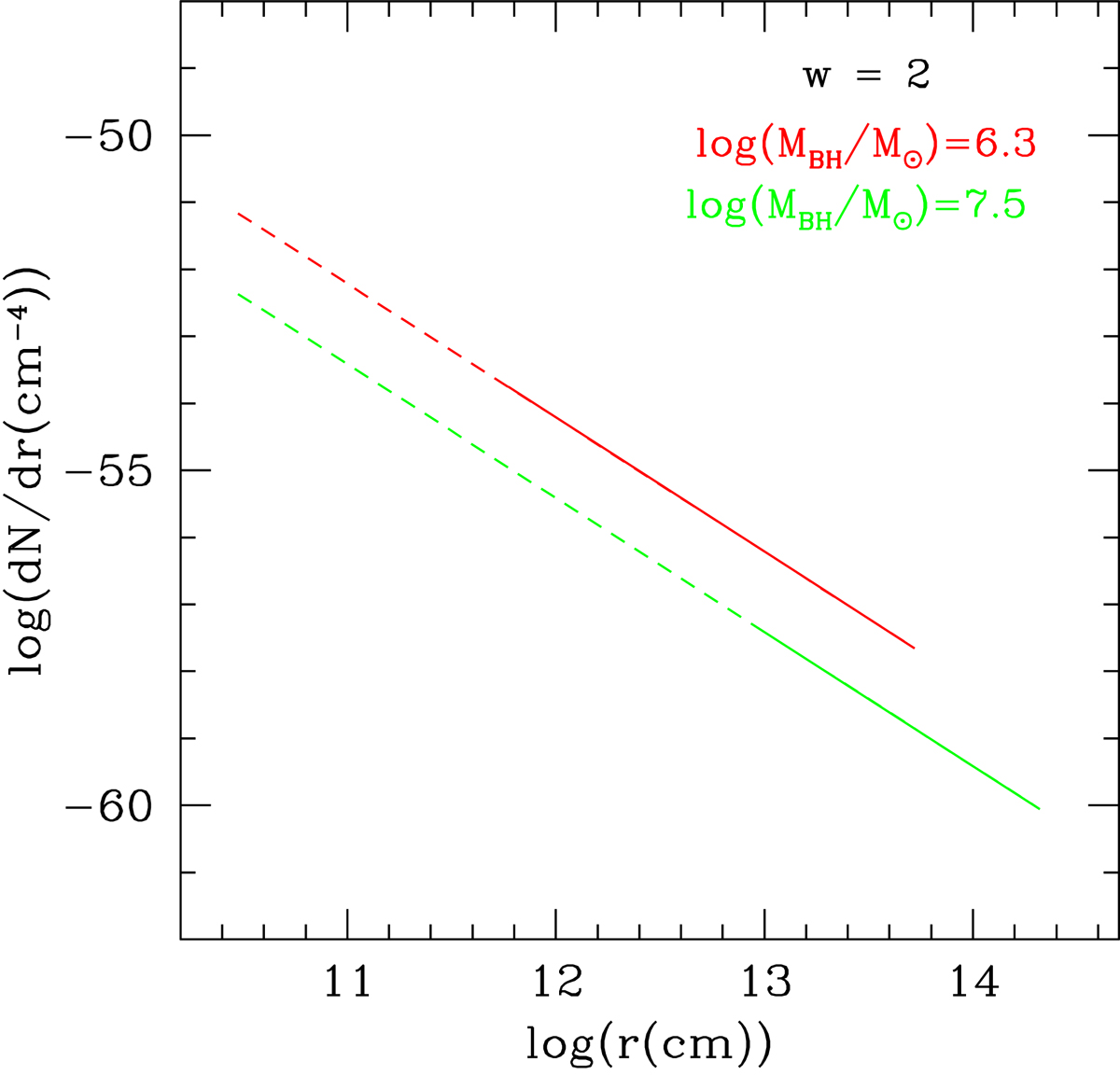
Fig. 7.

image

Cloud distribution for w = 2.0, gex = 3. and gin = 0.1 for two different black hole masses: MBH ≃ 2 × 106 M in red and MBH ≃ 3.2 × 107 M in green. For each MBH value, all the clouds in the entire size range shown in the figure can contribute to broad line formation, whereas only the portion of the distribution drawn as a solid line corresponds to clouds potentially producing X-ray occultations.

Current usage metrics show cumulative count of Article Views (full-text article views including HTML views, PDF and ePub downloads, according to the available data) and Abstracts Views on Vision4Press platform.

Data correspond to usage on the plateform after 2015. The current usage metrics is available 48-96 hours after online publication and is updated daily on week days.

Initial download of the metrics may take a while.