Free Access

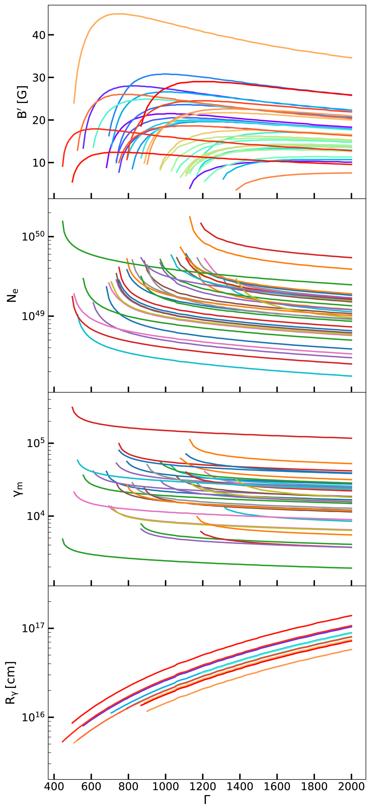
Fig. 7.

image

Physical quantities describing the emitting region shown as a function of the bulk Lorentz factor Γ: the magnetic field strength in the comoving frame B′ (top panel), the number of emitting electrons Ne (second panel), the minimum Lorentz factor γm of the electron (third panel), and the distance Rγ of the emitting region from the central engine (bottom panel). At small Γ, solutions are limited by the requirement Y <  10. The pulse decay timescale tγ is fixed to 1 s.

Current usage metrics show cumulative count of Article Views (full-text article views including HTML views, PDF and ePub downloads, according to the available data) and Abstracts Views on Vision4Press platform.

Data correspond to usage on the plateform after 2015. The current usage metrics is available 48-96 hours after online publication and is updated daily on week days.

Initial download of the metrics may take a while.