Free Access

Fig. 10.

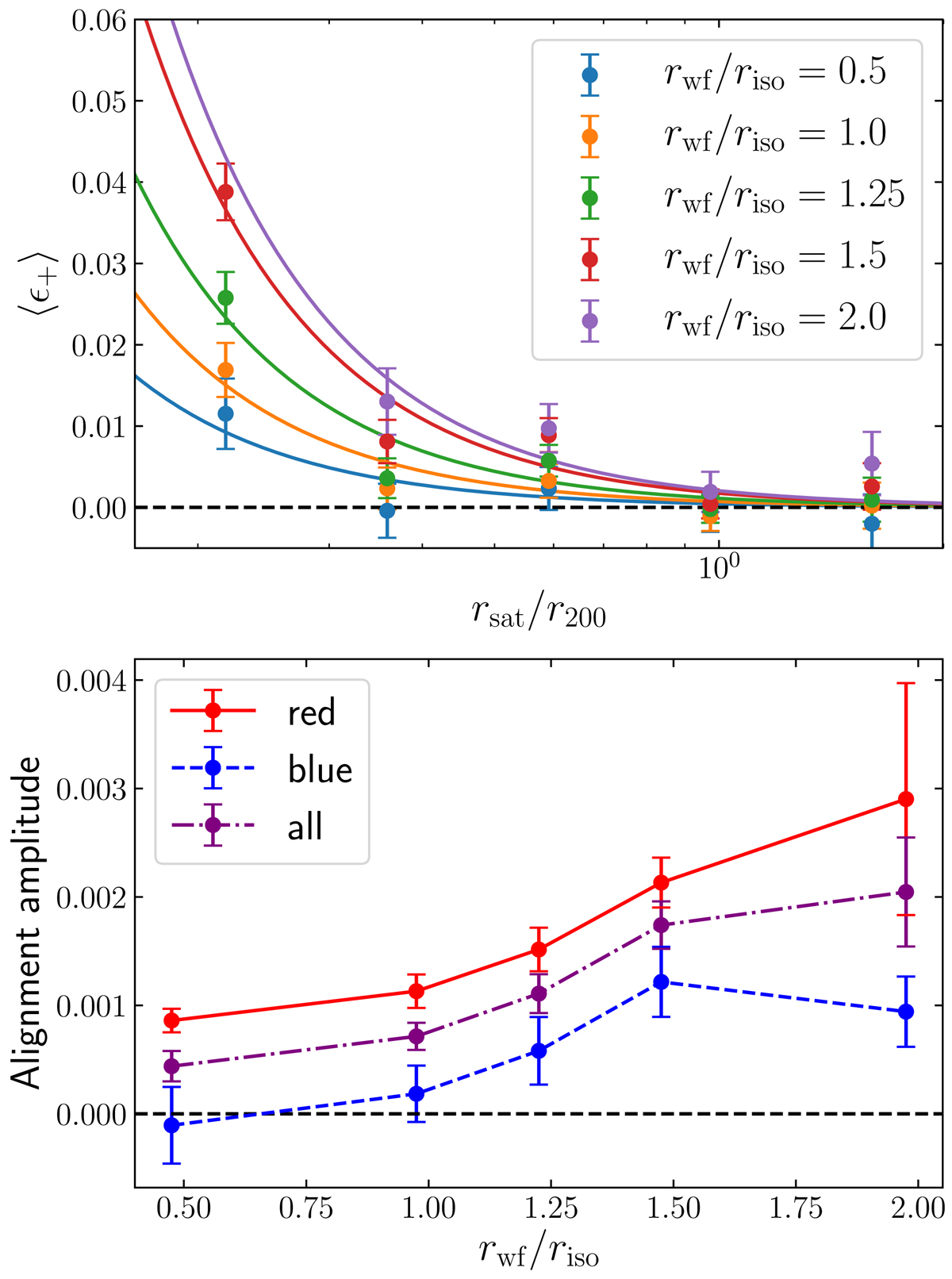
image

Top: average tangential ellipticity of the full satellite galaxy sample versus projected satellite distance from the group BGG, obtained using satellite shape – BGG position pairs. Results shown for different weight function sizes used in the shape measurement process. The rwf indicates the size of the initial weight function and riso is the isophote of the galaxy. Bottom: amplitude of power-law fits with fixed exponent, to the average ellipticities for all, red and blue galaxies, for the different weight function sizes involved. Lines connecting the data points added for clarity.

Current usage metrics show cumulative count of Article Views (full-text article views including HTML views, PDF and ePub downloads, according to the available data) and Abstracts Views on Vision4Press platform.

Data correspond to usage on the plateform after 2015. The current usage metrics is available 48-96 hours after online publication and is updated daily on week days.

Initial download of the metrics may take a while.