Open Access

Fig. 2.

image

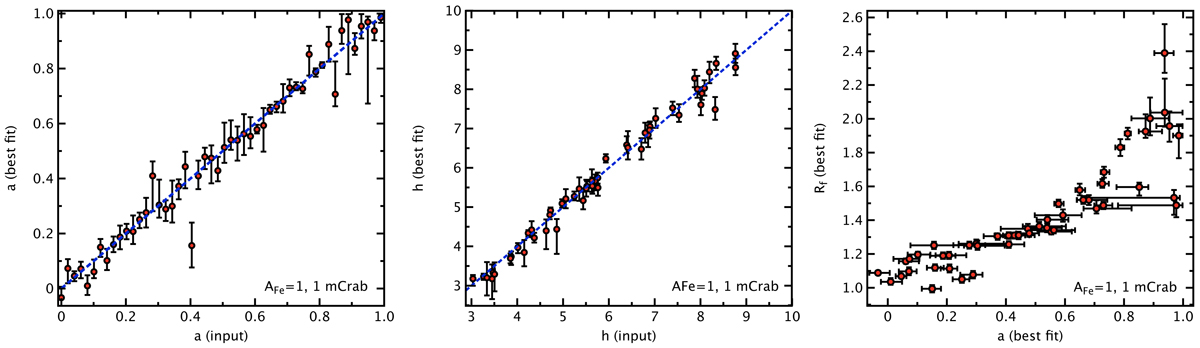
Best fit parameters vs. input parameters for the case of a 1 mCrab source observed for a 100 ks X-IFU observation. The parameters of the reflection component are computed by the model to the predicted value of the geometrical configuration in the lamp-post geometry (Dauser et al. 2016) and then left as a free parameter of the fit. Fifty spins are generated to sample the range 0–0.995, while the height of the X-ray source is drawn at each spin from a uniform distribution bounded between 3 and 10 Rg. The iron abundance AFe is set to 1. The simulations are performed in the so-called configuration 2 described in Sect. 3.2. Left: spin parameter. Middle: height of the compact source. Right: reflection fraction vs. fitted spin parameters. The errors are computed at the 90% confidence level for variation of one single parameter. As predicted by the model, Rf tends to increase with the black hole spin; the scattering at high spins is due to the height of the X-ray source being allowed to vary between each simulation run.

Current usage metrics show cumulative count of Article Views (full-text article views including HTML views, PDF and ePub downloads, according to the available data) and Abstracts Views on Vision4Press platform.

Data correspond to usage on the plateform after 2015. The current usage metrics is available 48-96 hours after online publication and is updated daily on week days.

Initial download of the metrics may take a while.