Open Access

Fig. B.1.

image

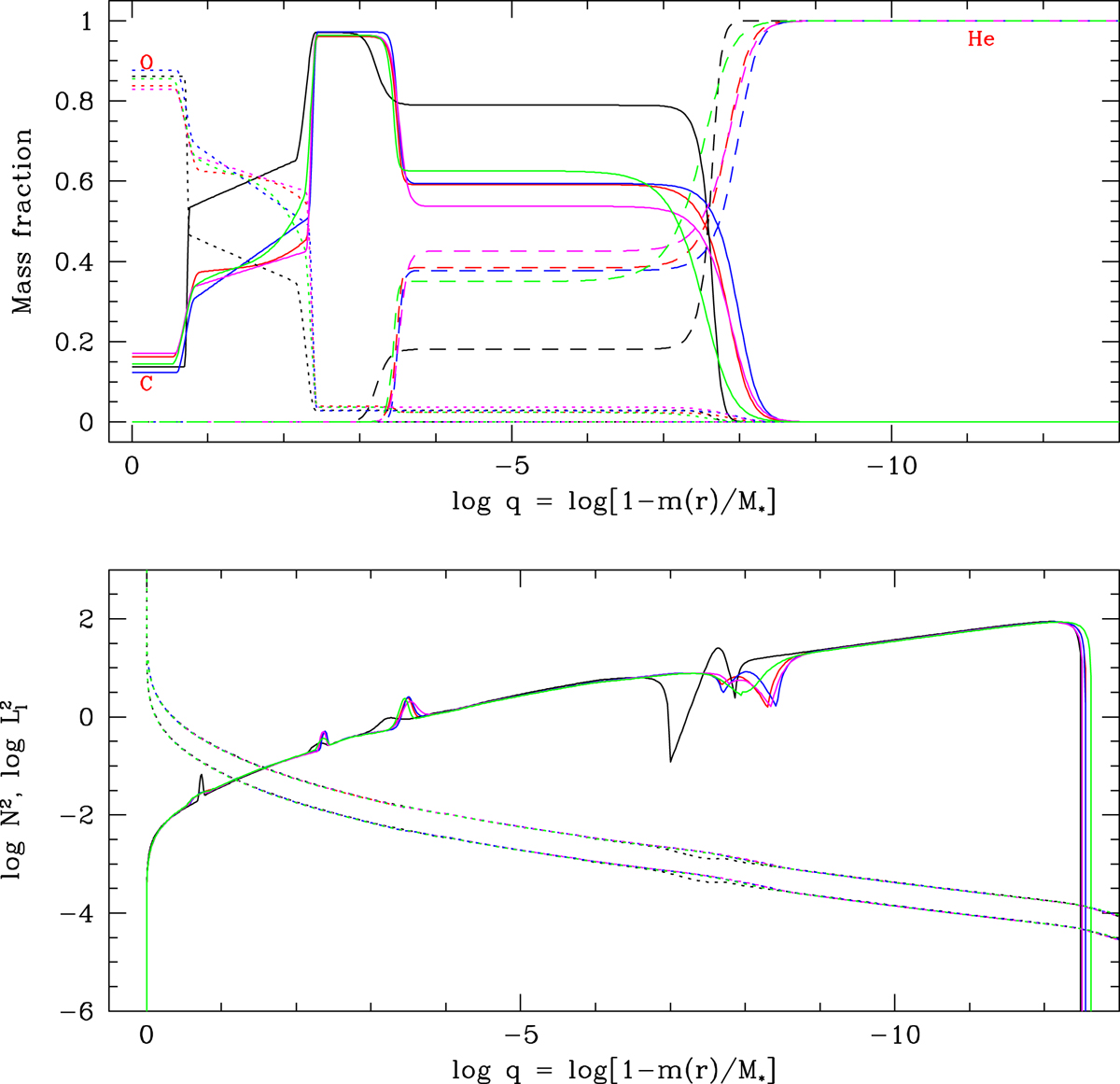
Optimal model solutions found for KIC 08626021 when using various types of static models. The model in black corresponds to the zeroth-order solution of Giammichele et al. (2018) that neglects the effects of neutrino cooling. The two models in magenta and blue are respectively the first-order and second-order solutions using the same type of models based on Akima splines (see text and Giammichele et al. 2017a). The model in red, which is our new adopted representation of KIC 08626021, is the second-order solution obtained with models that use the smoother Fritsch-Carlson spline interpolation to generate the profiles defining the core chemical stratification (the first-order solution found with these models is represented in green). All quantities shown in this figure are described in Fig. 2 caption.

Current usage metrics show cumulative count of Article Views (full-text article views including HTML views, PDF and ePub downloads, according to the available data) and Abstracts Views on Vision4Press platform.

Data correspond to usage on the plateform after 2015. The current usage metrics is available 48-96 hours after online publication and is updated daily on week days.

Initial download of the metrics may take a while.