Free Access

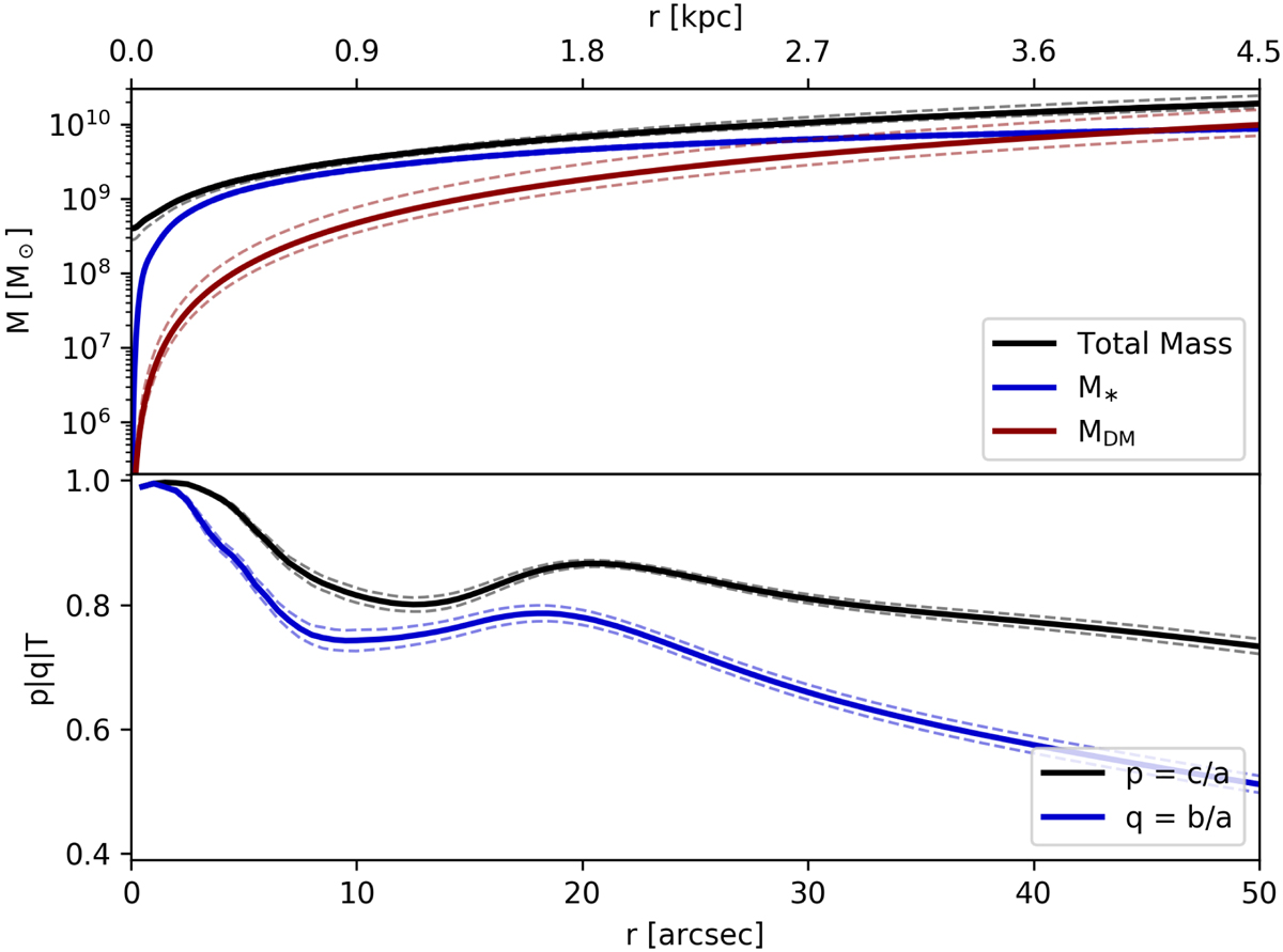
Fig. 12.

image

Radial profile of enclosed mass and shape parameters. Top: profile of the enclosed mass for the stellar mass (blue), the dark mass (red) and the total (black). Bottom: radial profile of the geometric shape parameters q and p. The dotted lines indicate the 1σ uncertainty determined from the five best-fitting models.

Current usage metrics show cumulative count of Article Views (full-text article views including HTML views, PDF and ePub downloads, according to the available data) and Abstracts Views on Vision4Press platform.

Data correspond to usage on the plateform after 2015. The current usage metrics is available 48-96 hours after online publication and is updated daily on week days.

Initial download of the metrics may take a while.