Free Access

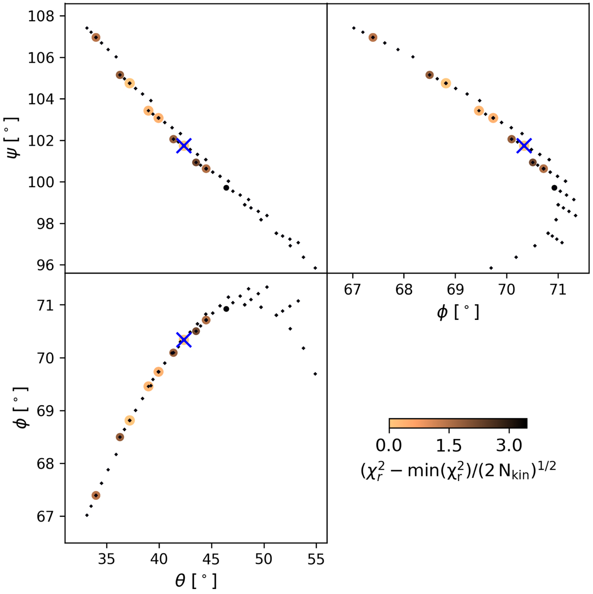
Fig. B.2.

image

Parameter grid of allowed viewing angles from our Schwarzschild modelling. The colour and the symbol size give the normalised reduced χ2. The best-fit model is marked by the blue cross.

Current usage metrics show cumulative count of Article Views (full-text article views including HTML views, PDF and ePub downloads, according to the available data) and Abstracts Views on Vision4Press platform.

Data correspond to usage on the plateform after 2015. The current usage metrics is available 48-96 hours after online publication and is updated daily on week days.

Initial download of the metrics may take a while.