Free Access

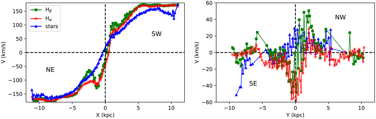
Fig. 5.

image

Left panel: distribution of the measured Hα (red crosses), Hβ (green squares), and stellar (blue triangles) line-of-sight velocities Vlos along the major axis over the sky plane. Right panel: distribution of the measured Hα (red crosses), Hβ (green squares), and stellar (blue triangles) line-of-sight velocities Vlos along the minor axis over the sky plane. The measured points do not lie further than 0.32 kpc (< 1 spaxel or < 0.5 arcsec) from the axes.

Current usage metrics show cumulative count of Article Views (full-text article views including HTML views, PDF and ePub downloads, according to the available data) and Abstracts Views on Vision4Press platform.

Data correspond to usage on the plateform after 2015. The current usage metrics is available 48-96 hours after online publication and is updated daily on week days.

Initial download of the metrics may take a while.