Free Access

Fig. 6.

image

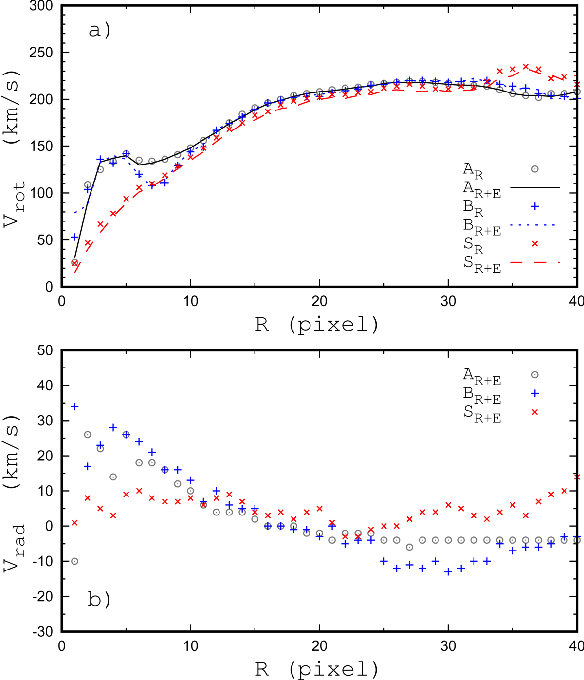
Circular velocity curves derived using all the spaxels with measured velocities (panel a). The circular velocity curve based on the Hα velocities is shown by the open circles (case AR, the radial motion is neglected) and by the solid line (case AR + E, the radial motion is included). The circular velocity curve based on the Hβ velocities is denoted by the plus symbols (case BR, without the radial motion) and by the dotted line (case BR + E, with the radial motion). The circular velocity curve based on the stellar velocities is presented by the crosses (case SR, without the radial motion) and by the dashed line (case SR + E, with the radial motion). Panel b: radial velocity as a function of radius for the cases AR + E (open circles), BR + E (plus signs), and SR + E (crosses). The geometric parameters and other characteristics of each case are reported in Table 1.

Current usage metrics show cumulative count of Article Views (full-text article views including HTML views, PDF and ePub downloads, according to the available data) and Abstracts Views on Vision4Press platform.

Data correspond to usage on the plateform after 2015. The current usage metrics is available 48-96 hours after online publication and is updated daily on week days.

Initial download of the metrics may take a while.