Free Access

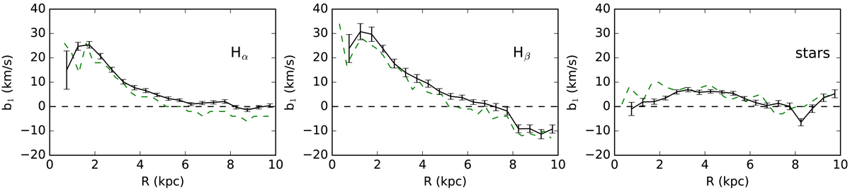
Fig. 8.

image

Radial change of the Fourier coefficients b1 (black line) computed from the Hα, Hβ, and stellar component velocity maps. The green dashed curve shows the radial velocity computed in Sect. 6. The black dashed line marks no radial motion.

Current usage metrics show cumulative count of Article Views (full-text article views including HTML views, PDF and ePub downloads, according to the available data) and Abstracts Views on Vision4Press platform.

Data correspond to usage on the plateform after 2015. The current usage metrics is available 48-96 hours after online publication and is updated daily on week days.

Initial download of the metrics may take a while.