Free Access

Fig. C.1

image

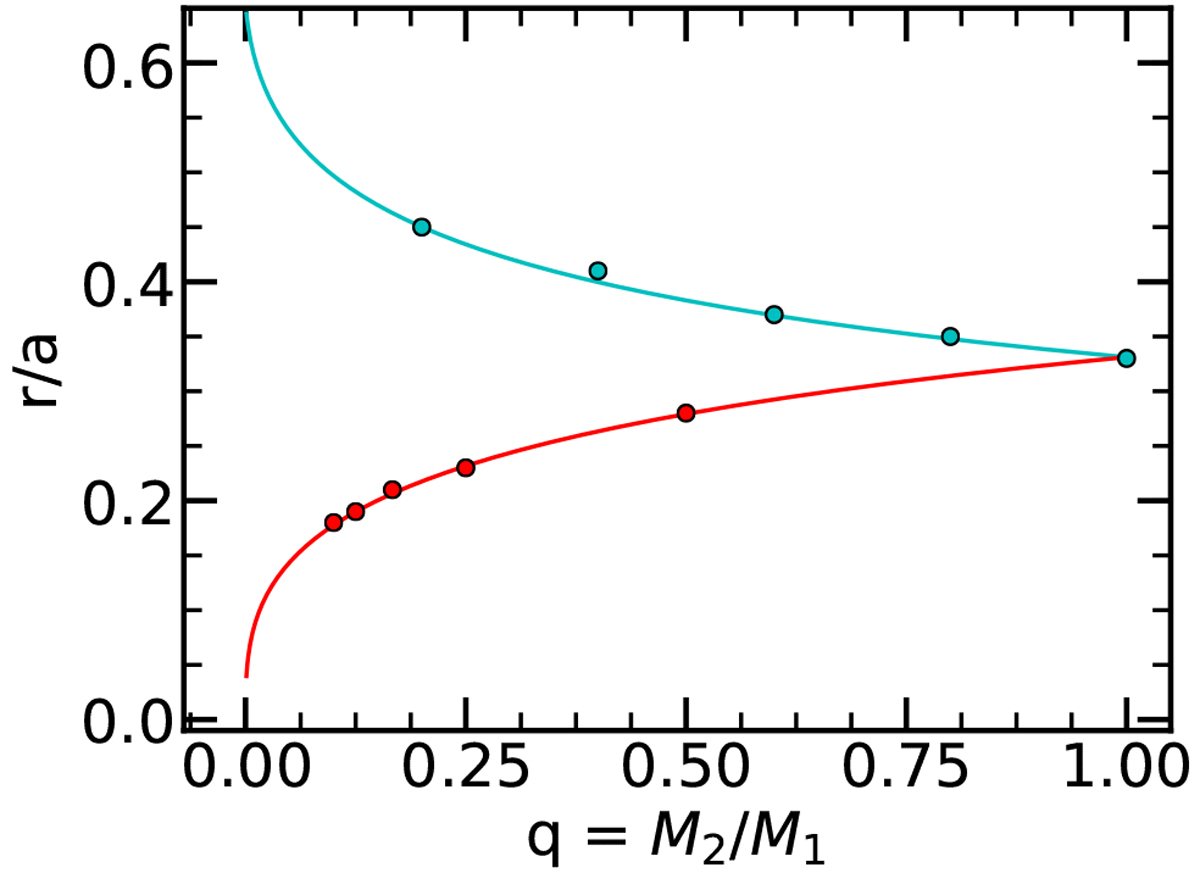
Tidal truncation radius predictions for a zero-eccentricity binary as a functionof the mass ratio q. The solid lines represent the fitting function Ri,Egg 0.88 ⋅ μ0.01. In particular the blue line refers to the circumprimary disk, and the red line to the circumsecondary. Similarly, the blue dots are the theoretical predictions for the circumprimary and the red dots for the circumsecondary (data from Papaloizou & Pringle 1977). The yellow square refers to the equal mass case.

Current usage metrics show cumulative count of Article Views (full-text article views including HTML views, PDF and ePub downloads, according to the available data) and Abstracts Views on Vision4Press platform.

Data correspond to usage on the plateform after 2015. The current usage metrics is available 48-96 hours after online publication and is updated daily on week days.

Initial download of the metrics may take a while.