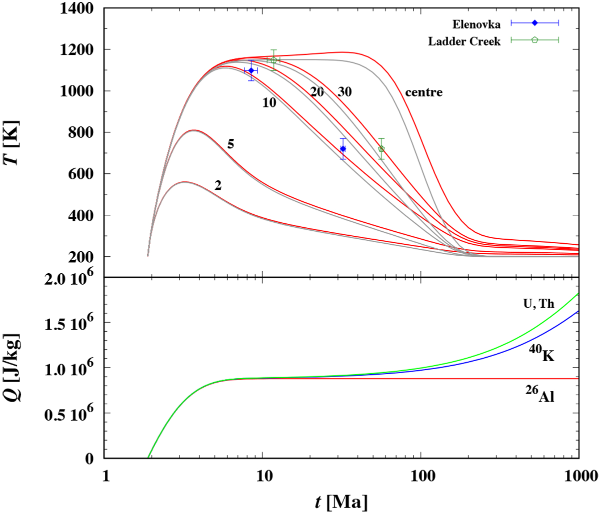
Fig. 8

Importance of 40K as heat source. Upper panel: temperature evolution of the parent body model at a set of selected depths (km) considering the contributions of the full set of heat sources (red lines) for our optimised model, and a model with the same formation time and radius but with the sole contribution of 26Al to heating (grey lines). Also shown for comparison are Hf-W and Pb-Pb ages and the corresponding closure temperatures for the two indicated meteorites. Lower panel: cumulated heat released, Q, up to instantt for the different contributing radioactive species.
Current usage metrics show cumulative count of Article Views (full-text article views including HTML views, PDF and ePub downloads, according to the available data) and Abstracts Views on Vision4Press platform.
Data correspond to usage on the plateform after 2015. The current usage metrics is available 48-96 hours after online publication and is updated daily on week days.
Initial download of the metrics may take a while.