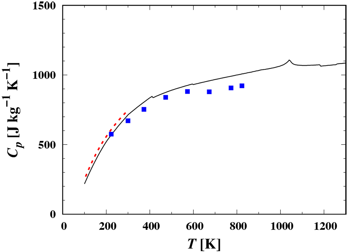
Fig. A.1

Specific heat of L chondrite material, as calculated from average composition (black line), average values of experimental data (red dashed line) according to Macke et al. (2016), and data measured for an L6 chondrite (Wach et al. 2013; blue squares). The discontinuities and the cusp at certain temperatures are due to phase transitions in some components of the mixture.
Current usage metrics show cumulative count of Article Views (full-text article views including HTML views, PDF and ePub downloads, according to the available data) and Abstracts Views on Vision4Press platform.
Data correspond to usage on the plateform after 2015. The current usage metrics is available 48-96 hours after online publication and is updated daily on week days.
Initial download of the metrics may take a while.