Free Access

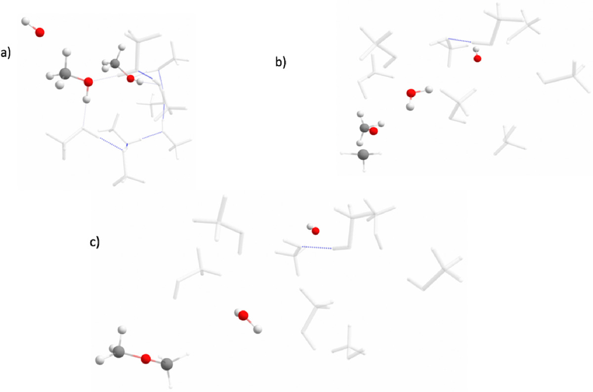
Fig. 4.

image

Formation of dimethyl ether CH3OCH3 at 15 eV following the chemical pathways as a function of time. a: initial conditions. In color the projectile and methanol molecules that actively react. The remaning methanol molecules are represented by grey lines. They absorve some of the collision energy even though they do not break or form new chemical bonds. b: radical formation at 87.5 fs. c: radical-radical association at 164 fs. The colored OH and H2O molecules escape the system.

Current usage metrics show cumulative count of Article Views (full-text article views including HTML views, PDF and ePub downloads, according to the available data) and Abstracts Views on Vision4Press platform.

Data correspond to usage on the plateform after 2015. The current usage metrics is available 48-96 hours after online publication and is updated daily on week days.

Initial download of the metrics may take a while.