Free Access

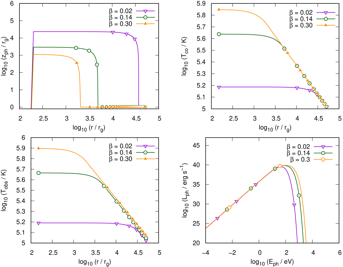
Fig. 2.

image

Radial distribution of the height, comoving temperature, and observed temperature of the gas at the apparent photosphere of the wind, and spectral energy distribution of the radiation produced at the apparent photosphere of the wind measured by an observer at infinity. We consider three values for the wind velocity β = v/c in all cases.

Current usage metrics show cumulative count of Article Views (full-text article views including HTML views, PDF and ePub downloads, according to the available data) and Abstracts Views on Vision4Press platform.

Data correspond to usage on the plateform after 2015. The current usage metrics is available 48-96 hours after online publication and is updated daily on week days.

Initial download of the metrics may take a while.