Free Access

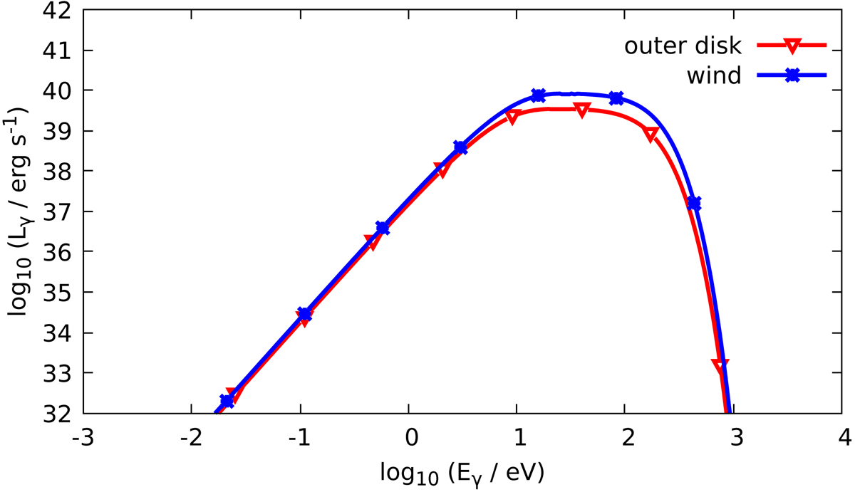
Fig. 3.

image

Comparation of the thermal SED of the radiation produced by the disk and wind. In the outer disk the emission is not hidden by the wind. This occurs for r >  rcr ≈ 3600 rg. We consider for the disk that the advection parameter is f = 0.5. For the wind, we assume a constant escape velocity given by v = 0.14c. The viewing angle is θ = 60°.

Current usage metrics show cumulative count of Article Views (full-text article views including HTML views, PDF and ePub downloads, according to the available data) and Abstracts Views on Vision4Press platform.

Data correspond to usage on the plateform after 2015. The current usage metrics is available 48-96 hours after online publication and is updated daily on week days.

Initial download of the metrics may take a while.