Free Access

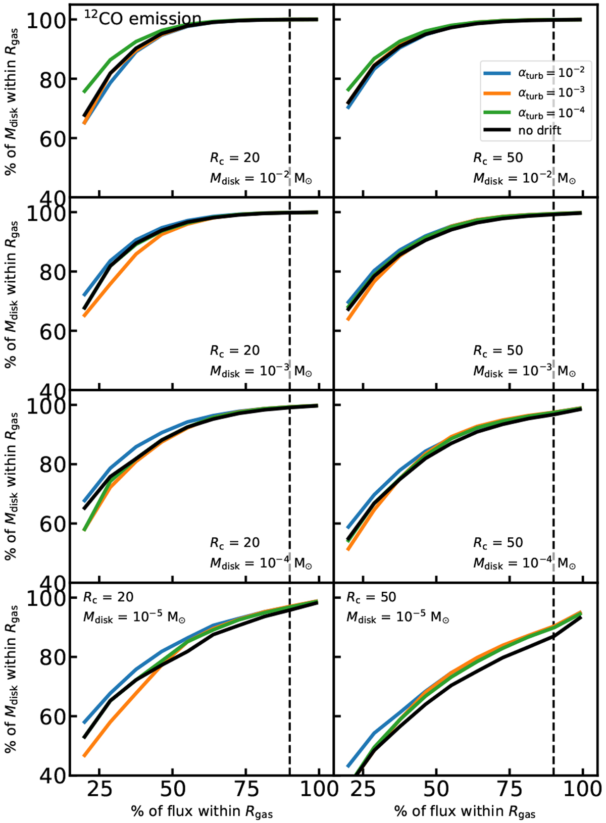
Fig. I.2

image

Fraction of 12CO flux used to calculate R90, gas compared to the fraction of Mdisc within R90, gas. Dashed vertical line indicates 90% of the flux.

Current usage metrics show cumulative count of Article Views (full-text article views including HTML views, PDF and ePub downloads, according to the available data) and Abstracts Views on Vision4Press platform.

Data correspond to usage on the plateform after 2015. The current usage metrics is available 48-96 hours after online publication and is updated daily on week days.

Initial download of the metrics may take a while.