Free Access

Fig. 5

image

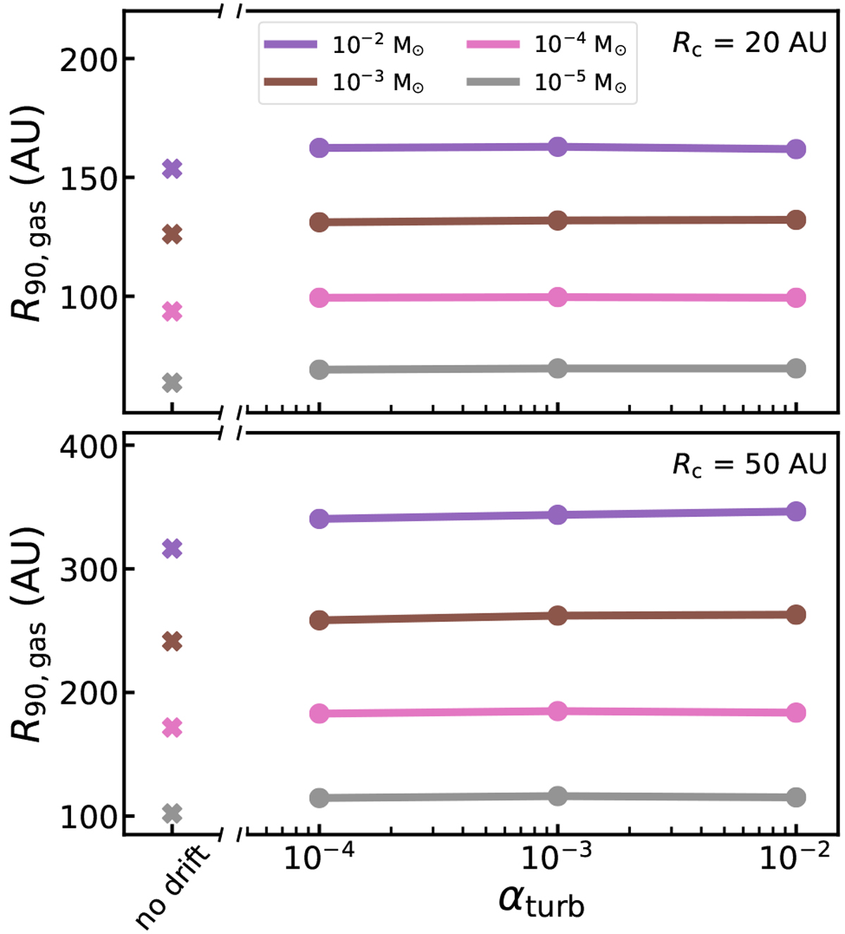
For models with different (Mdisc, Rc), R90, gas as function of αturb. Top panel: models with Rc = 20 AU. Bottom panel: models with Rc = 50 AU. The crosses show the R90, gas for the no drift model.

Current usage metrics show cumulative count of Article Views (full-text article views including HTML views, PDF and ePub downloads, according to the available data) and Abstracts Views on Vision4Press platform.

Data correspond to usage on the plateform after 2015. The current usage metrics is available 48-96 hours after online publication and is updated daily on week days.

Initial download of the metrics may take a while.