Free Access

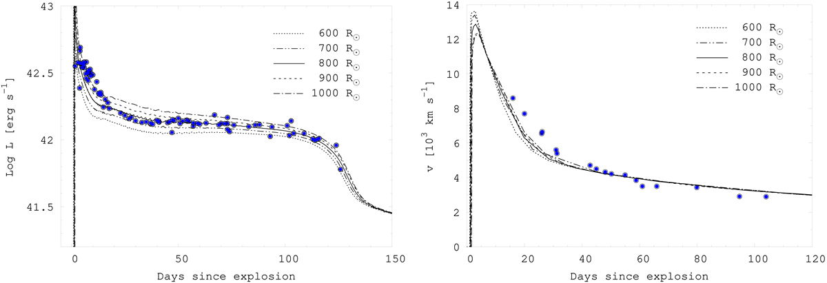
Fig. B.3.

image

Dependence of bolometric LC (left) and photospheric velocity evolution (right) with pre-explosion radius for SN 2012aw. The optimal model is shown with a solid line. A range of radius between 700 and 900 R still produce good representations of observations.

Current usage metrics show cumulative count of Article Views (full-text article views including HTML views, PDF and ePub downloads, according to the available data) and Abstracts Views on Vision4Press platform.

Data correspond to usage on the plateform after 2015. The current usage metrics is available 48-96 hours after online publication and is updated daily on week days.

Initial download of the metrics may take a while.