Open Access

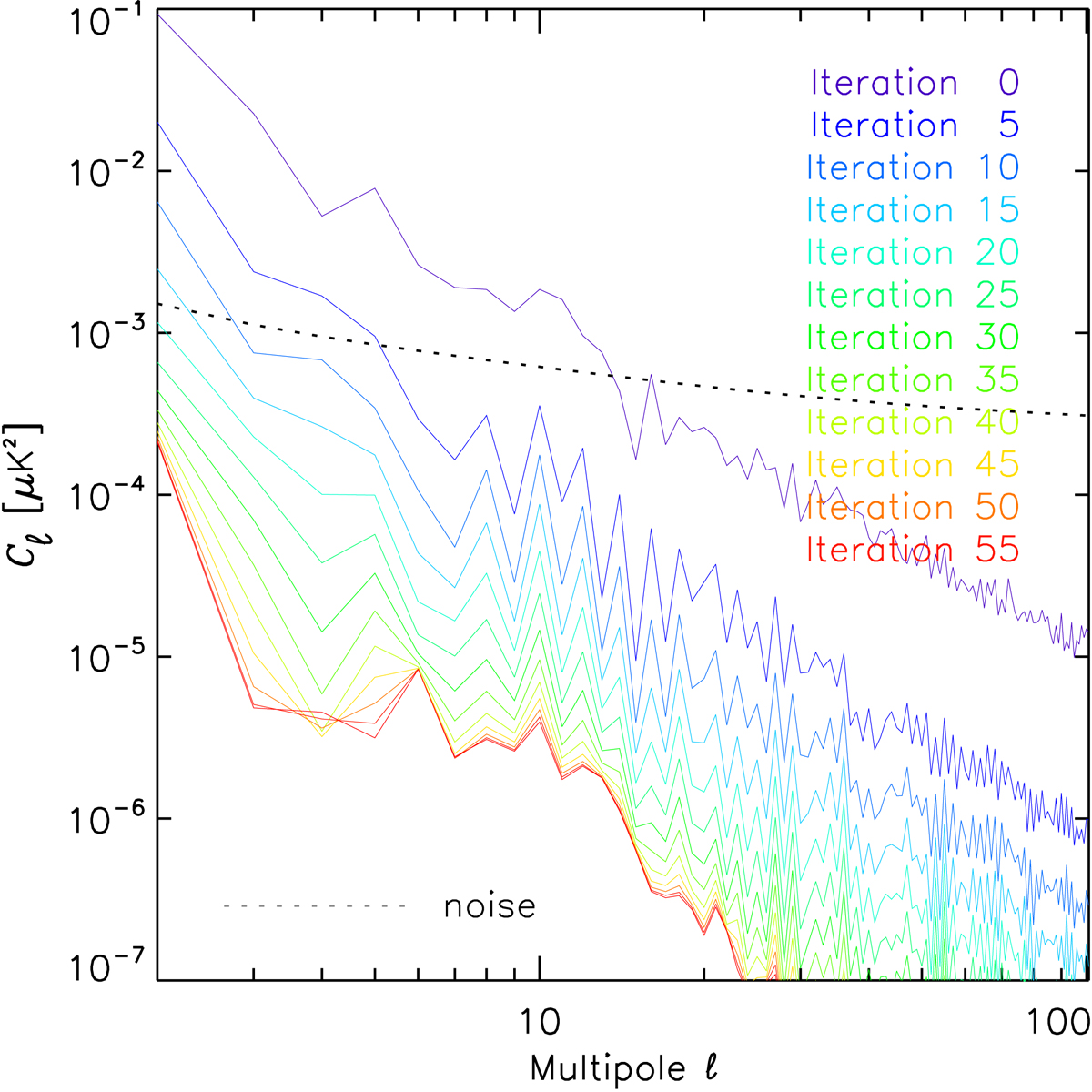
Fig. 4.

image

EE power spectra for difference between two successive iterations of residual maps from a noiseless simulation including only the ADCNL effect and SRoll2 mapmaking for increasing number of iterations at 143 GHz. 20 iterations are enough to reach a good enough convergence.

Current usage metrics show cumulative count of Article Views (full-text article views including HTML views, PDF and ePub downloads, according to the available data) and Abstracts Views on Vision4Press platform.

Data correspond to usage on the plateform after 2015. The current usage metrics is available 48-96 hours after online publication and is updated daily on week days.

Initial download of the metrics may take a while.