Free Access

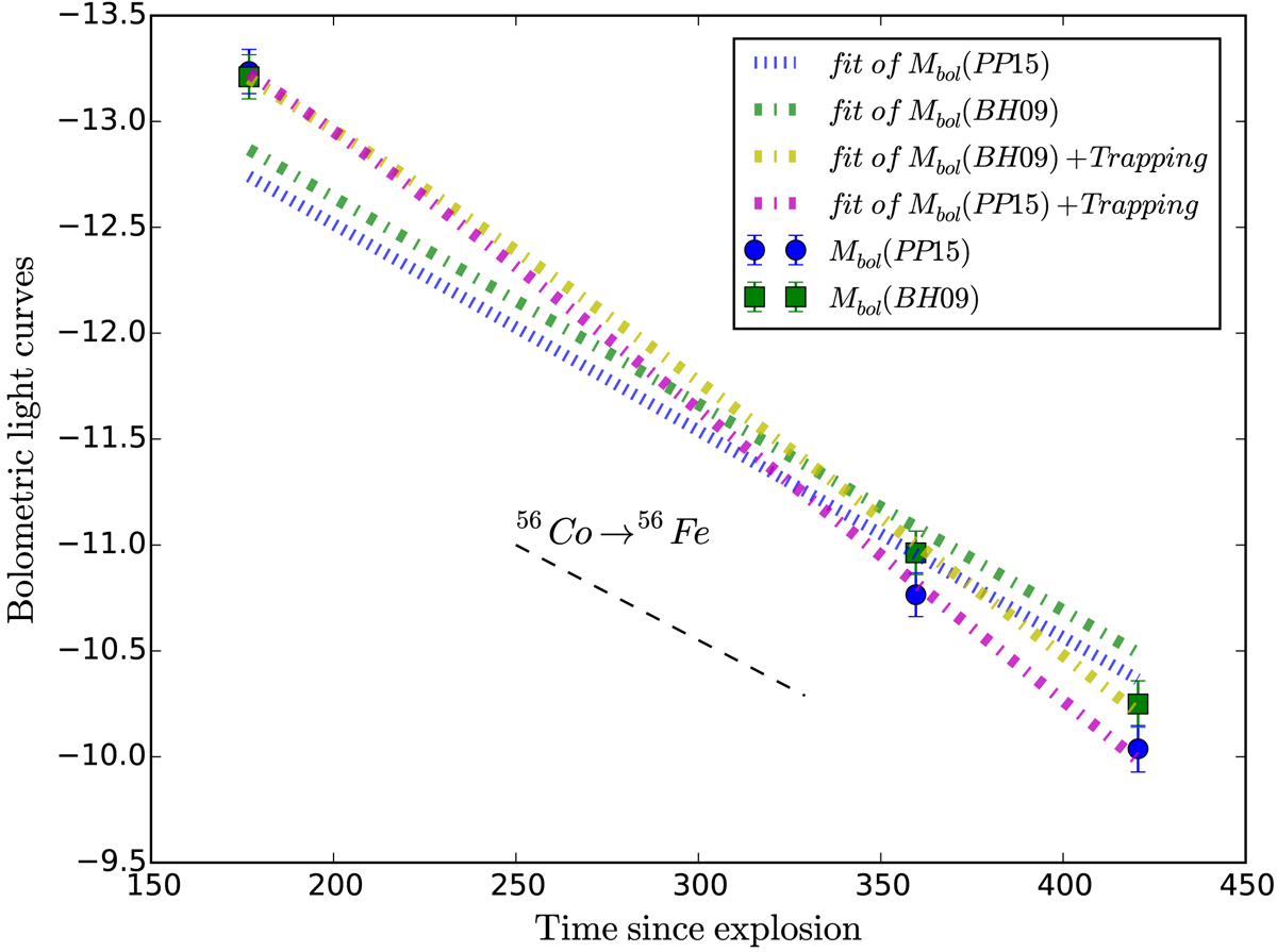
Fig. 15.

image

Bolometric light curves in the radioactive tail derived from the B and V-band photometry from EFOSC imaging, using the bolometric corrections of Pejcha & Prieto (2015a; PP15, blue dots) and Bersten & Hamuy (2009; MH09, green squares). The decay is faster than the expected from full trapping of 56Co decay (showed as a dashed black line). The non-full trapping model from Clocchiatti & Wheeler (1997) gives a 56Ni Mass of 0.0210  ±  0.0025 M for the Pejcha & Prieto (2015a) bolometric corrections. The time scale for this fit is T0 = 319 ± 33 days, which corresponds to a ejecta mass of 12 M for an explosion energy of 1 foe.

Current usage metrics show cumulative count of Article Views (full-text article views including HTML views, PDF and ePub downloads, according to the available data) and Abstracts Views on Vision4Press platform.

Data correspond to usage on the plateform after 2015. The current usage metrics is available 48-96 hours after online publication and is updated daily on week days.

Initial download of the metrics may take a while.