Free Access

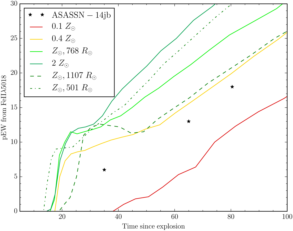
Fig. 18.

image

Measurements of the pseudo-equivalent width of the Fe II λ5018 line for ASASSN-14jb (black stars), with the correspondent epoch since explosion t0 = 56946.1  ±  3 (MJD). The solid lines show Dessart et al. (2013) models for progenitors with different metallicities and the dashed lines show models with Solar metallicity and different initial radii.

Current usage metrics show cumulative count of Article Views (full-text article views including HTML views, PDF and ePub downloads, according to the available data) and Abstracts Views on Vision4Press platform.

Data correspond to usage on the plateform after 2015. The current usage metrics is available 48-96 hours after online publication and is updated daily on week days.

Initial download of the metrics may take a while.