Free Access

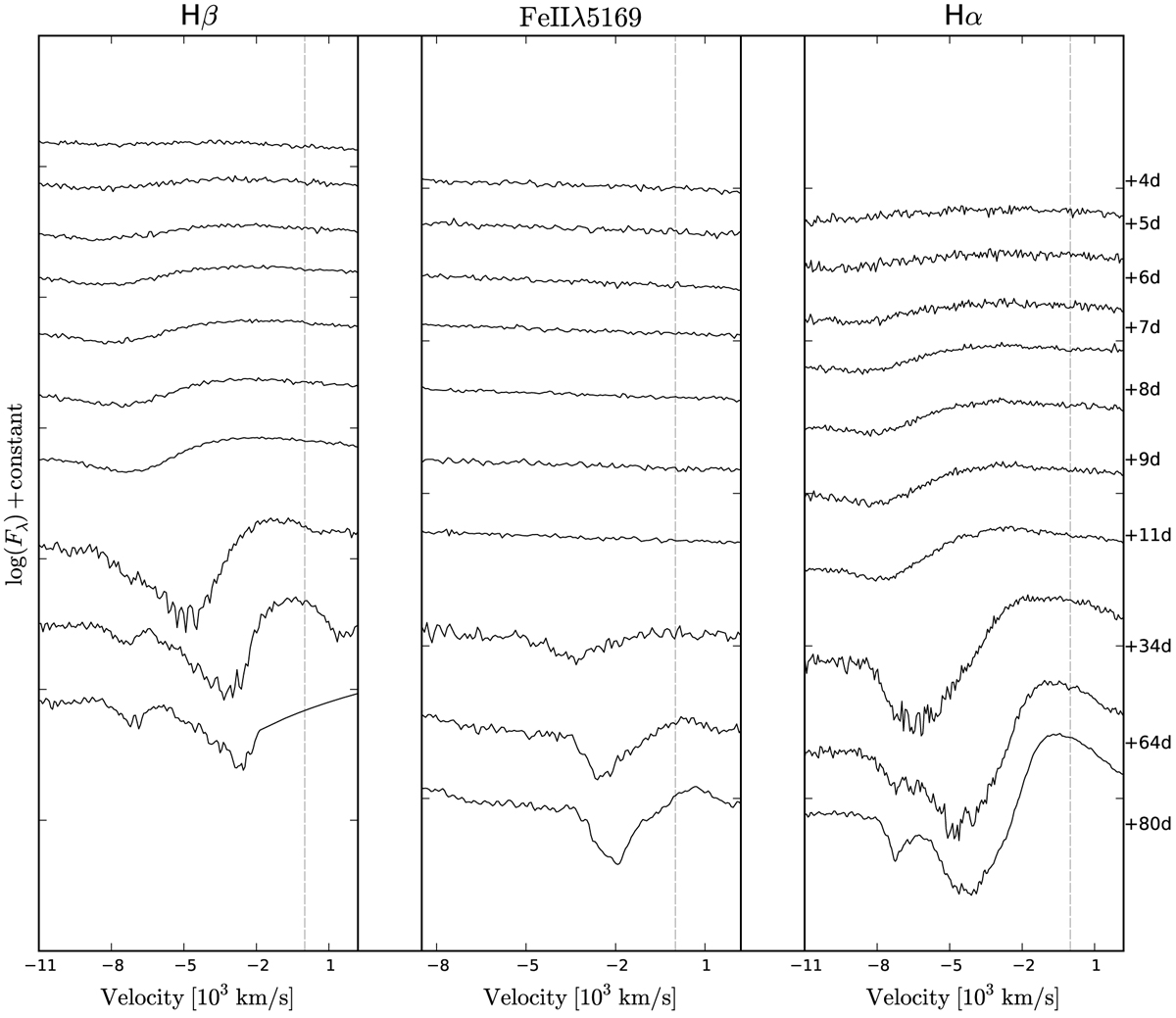
Fig. 9.

image

Evolution of the Hβ (left), Fe II λ5169 (middle) and Hα (right) line profiles, in velocity space, as a function of time after explosion t0 = 56946.1  ±  3 (MJD), in the plateau phase for ASASSN-14jb (up to 80 days past explosion). In each panel, a vertical dashed line indicates zero velocity.

Current usage metrics show cumulative count of Article Views (full-text article views including HTML views, PDF and ePub downloads, according to the available data) and Abstracts Views on Vision4Press platform.

Data correspond to usage on the plateform after 2015. The current usage metrics is available 48-96 hours after online publication and is updated daily on week days.

Initial download of the metrics may take a while.