Open Access

Fig. 4.

image

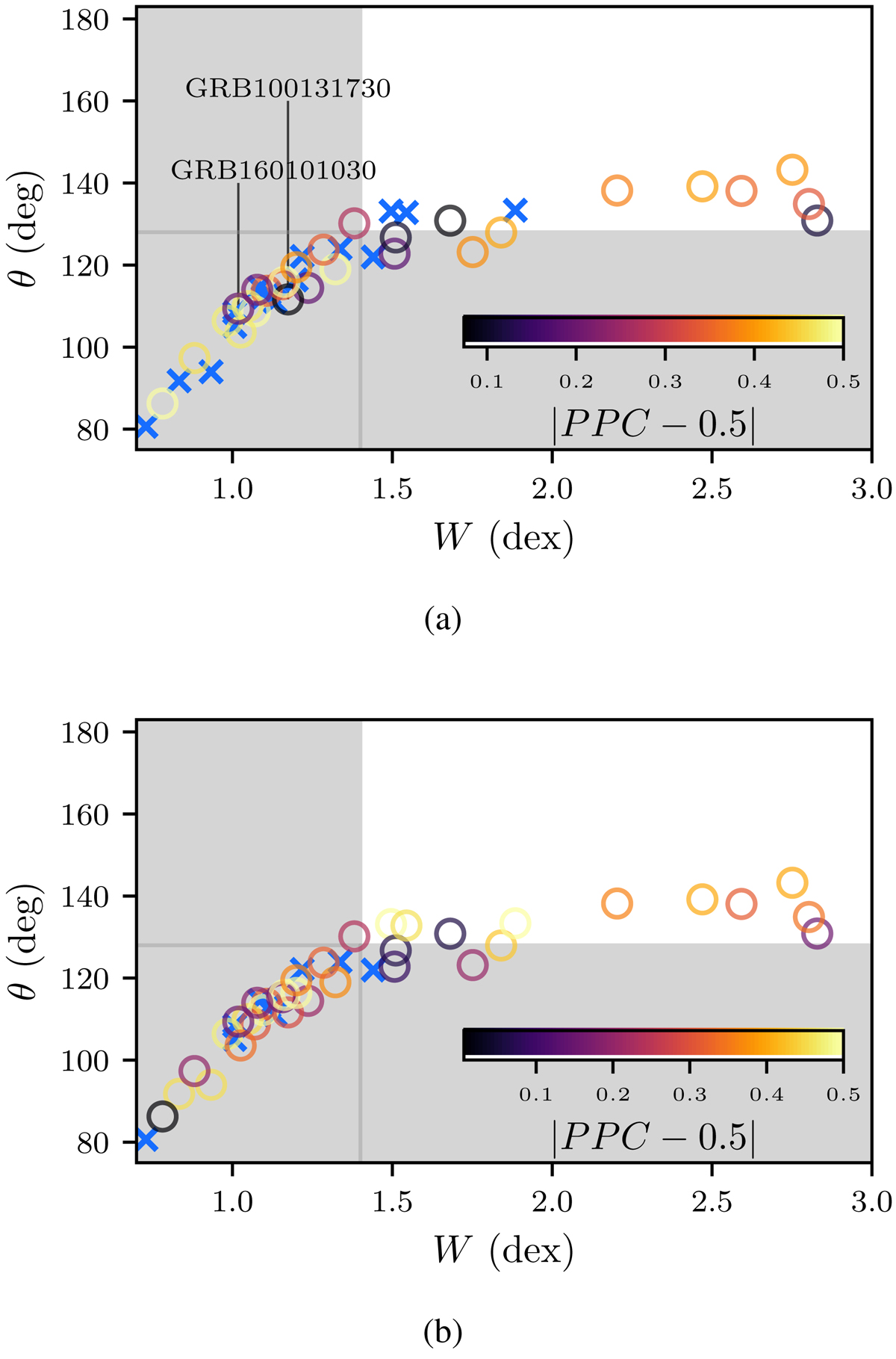
W − θ plane with synchrotron PPCs (top) and Band PPCs (bottom). Blue X’s indicate extreme poor fits and color indicate deviation from 0.5, i.e., darker colors indicate better fits. The grey shaded regions are regions that would be excluded by synchrotron for an electron distribution of p = −4.

Current usage metrics show cumulative count of Article Views (full-text article views including HTML views, PDF and ePub downloads, according to the available data) and Abstracts Views on Vision4Press platform.

Data correspond to usage on the plateform after 2015. The current usage metrics is available 48-96 hours after online publication and is updated daily on week days.

Initial download of the metrics may take a while.