Open Access

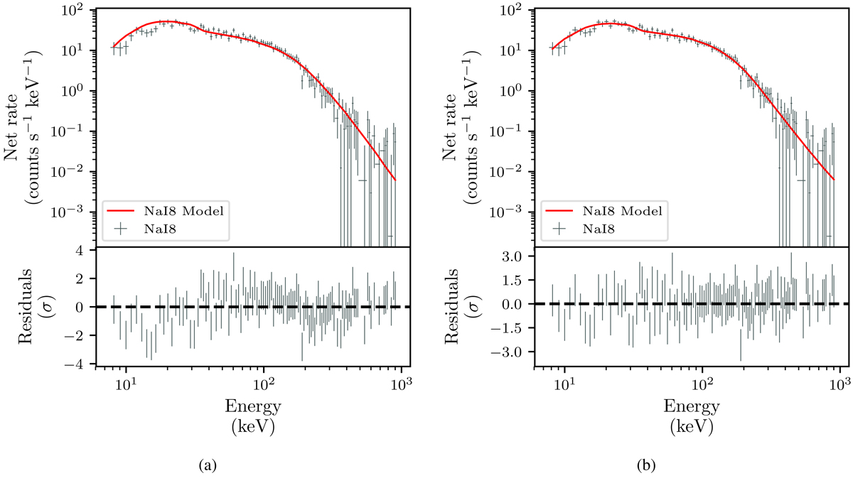
Fig. 6.

image

Fit of synchrotron (left) and Band (right) to one of the detectors from GRB 160521385. Here, the PPC tail probability indicates that the synchrotron fit is very poor while the Band function accurately fits the data. A pattern can be seen in the residuals of the synchrotron fit.

Current usage metrics show cumulative count of Article Views (full-text article views including HTML views, PDF and ePub downloads, according to the available data) and Abstracts Views on Vision4Press platform.

Data correspond to usage on the plateform after 2015. The current usage metrics is available 48-96 hours after online publication and is updated daily on week days.

Initial download of the metrics may take a while.