Free Access

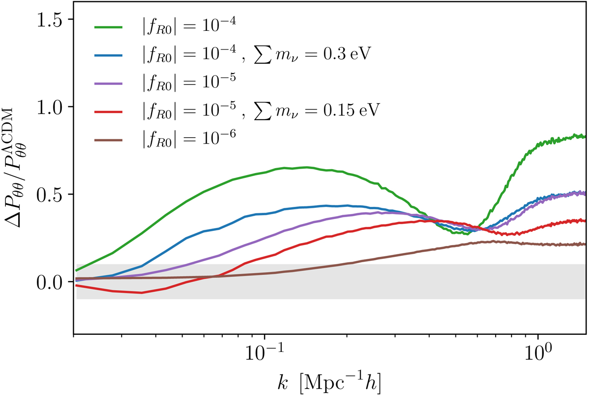
Fig. 2.

image

Relative change in the velocity divergence power spectrum Pθθ compared to ΛCDM for various models with MG, massive neutrinos, or both. The deviation from ΛCDM is more pronounced compared to the approximately degenerate density power spectra for combinations of |fR0| and ∑mν shown in Fig. 1. The dip in the spectra marks the onset of collapsed structures. The shaded band indicates a 10% deviation range.

Current usage metrics show cumulative count of Article Views (full-text article views including HTML views, PDF and ePub downloads, according to the available data) and Abstracts Views on Vision4Press platform.

Data correspond to usage on the plateform after 2015. The current usage metrics is available 48-96 hours after online publication and is updated daily on week days.

Initial download of the metrics may take a while.