Free Access

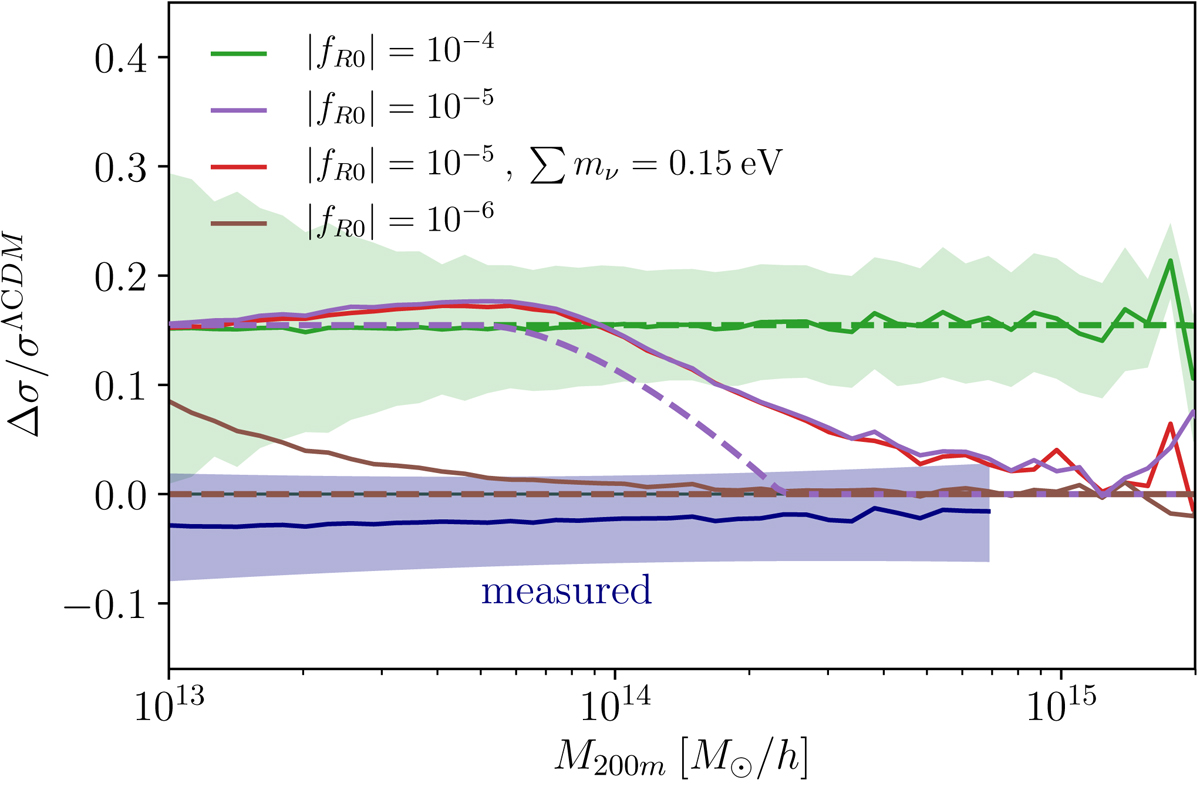
Fig. 4.

image

Relative velocity dispersion within clusters of a given mass in the extended cosmologies, normalised to the mean value of the ΛCDM simulation. The (propagated) error bar of the ratio Δσ/σ is showcased for the |fR0| = 10−4 model as the shaded region, and has a similar magnitude for all curves. The other error bars are suppressed for clarity. Also shown is the empirical relation (blue) with propagated error bars as described in the text. Dashed lines show the expectation from the simplified force enhancement model in Eq. (24). For unscreened clusters, the velocity dispersion is larger by a factor as expected from the virial theorem in f(R).

Current usage metrics show cumulative count of Article Views (full-text article views including HTML views, PDF and ePub downloads, according to the available data) and Abstracts Views on Vision4Press platform.

Data correspond to usage on the plateform after 2015. The current usage metrics is available 48-96 hours after online publication and is updated daily on week days.

Initial download of the metrics may take a while.