Highlight
Free Access

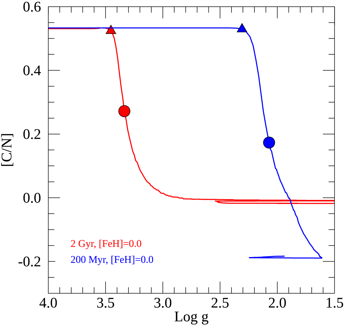
Fig. 1.

image

[C/N] vs. log g of 200 Myr (red line) and 2 Gyr (blue line) [Fe/H] = 0.0 dex PISA isochrones. The triangle represents the point where [C/N] starts to decrease monotonically, and the circle represents the point where the derivative d[C/N]/d log g is highest.

Current usage metrics show cumulative count of Article Views (full-text article views including HTML views, PDF and ePub downloads, according to the available data) and Abstracts Views on Vision4Press platform.

Data correspond to usage on the plateform after 2015. The current usage metrics is available 48-96 hours after online publication and is updated daily on week days.

Initial download of the metrics may take a while.