Open Access

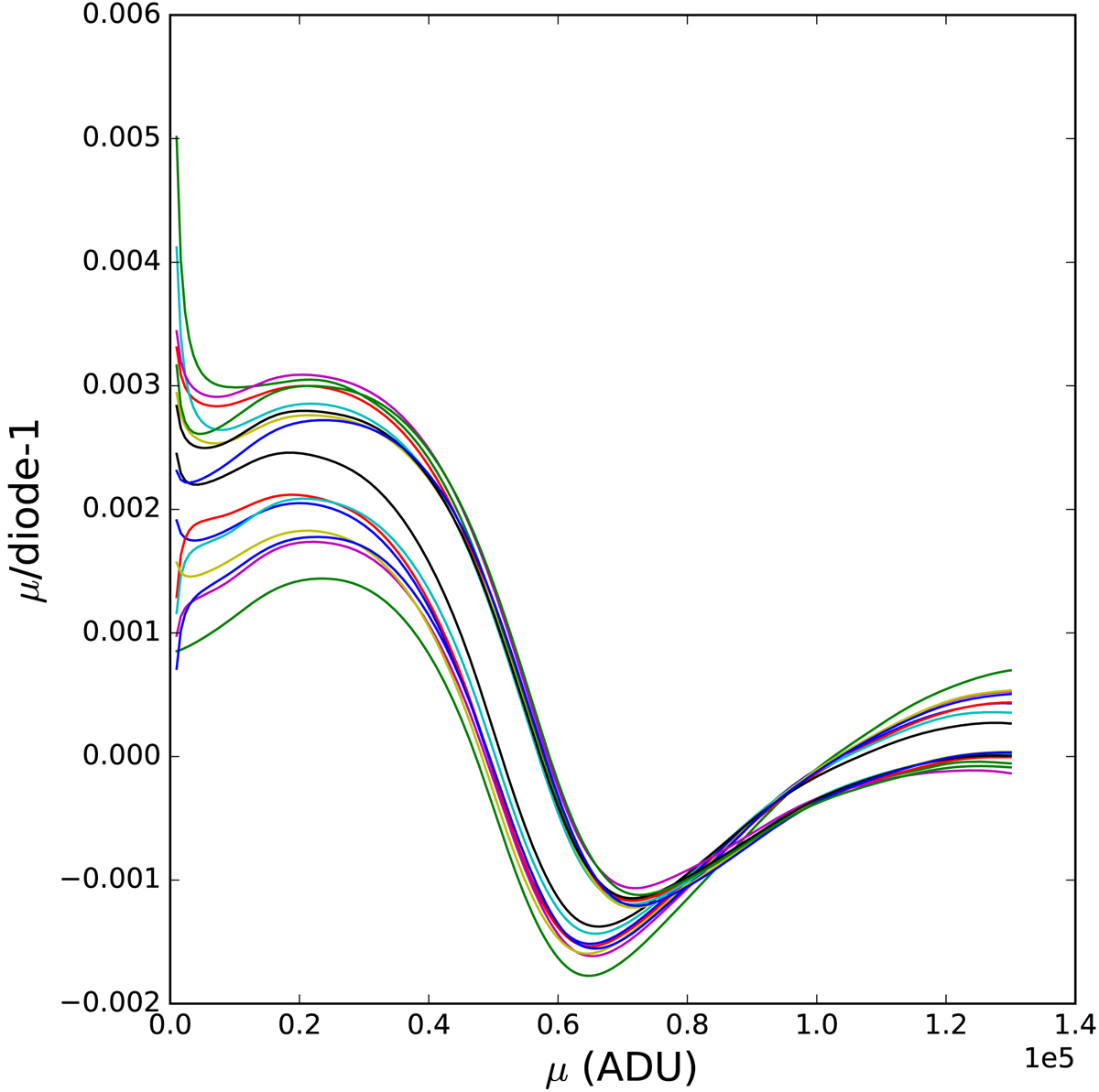
Fig. 4.

image

Spline fits to integral non-linearity of the 16 channels. The main differences between various channels are the overall gains (the two groups correspond to the two different chips hosting the preamplifiers), and the low signal level behavior (presumably due to the on-CCD amplifier).

Current usage metrics show cumulative count of Article Views (full-text article views including HTML views, PDF and ePub downloads, according to the available data) and Abstracts Views on Vision4Press platform.

Data correspond to usage on the plateform after 2015. The current usage metrics is available 48-96 hours after online publication and is updated daily on week days.

Initial download of the metrics may take a while.