Open Access

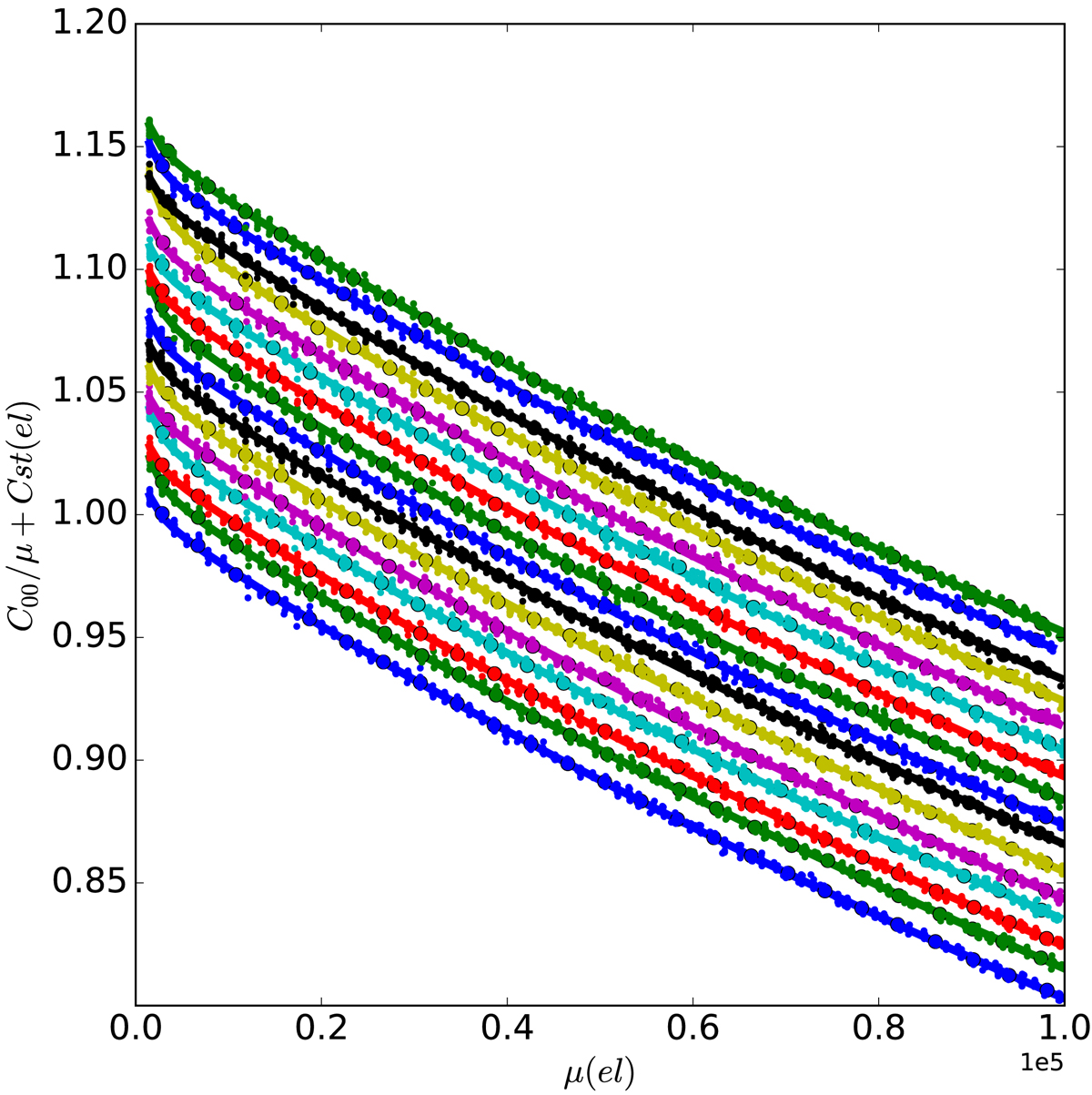
Fig. 8.

image

Photon transfer curve of all channels (namely C00/μ), offset by 0.01 times the channel number. The curves going through the data points correspond to the full fit. The statistics associated to these fits are provided in Table 2.

Current usage metrics show cumulative count of Article Views (full-text article views including HTML views, PDF and ePub downloads, according to the available data) and Abstracts Views on Vision4Press platform.

Data correspond to usage on the plateform after 2015. The current usage metrics is available 48-96 hours after online publication and is updated daily on week days.

Initial download of the metrics may take a while.