Open Access

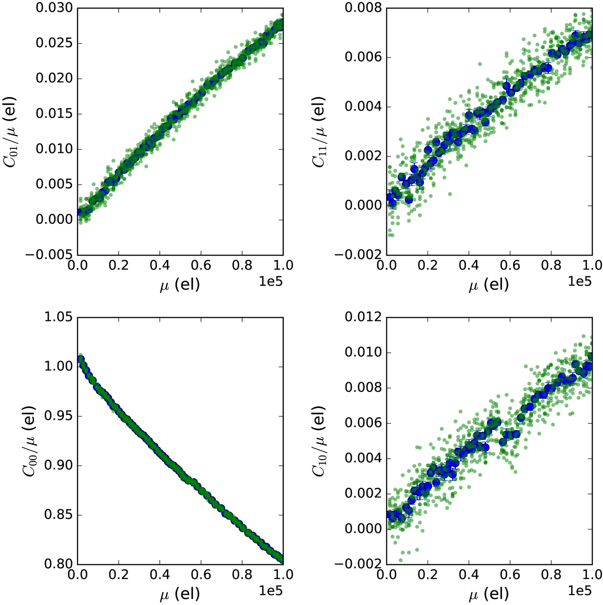
Fig. 9.

image

Nearest neighbor covariances for channel 10, and variance (divided by μ). We display both the individual measurements and binned values. All quantities are expressed in electron units. The spread is similar for all plots but appears differently because scales are different. The wiggle on C10 around μ = 0.6 × 105 is a remainder of the deferred charge correction (Sect. 5.3). It is clear that the data does not follow straight lines.

Current usage metrics show cumulative count of Article Views (full-text article views including HTML views, PDF and ePub downloads, according to the available data) and Abstracts Views on Vision4Press platform.

Data correspond to usage on the plateform after 2015. The current usage metrics is available 48-96 hours after online publication and is updated daily on week days.

Initial download of the metrics may take a while.