Free Access

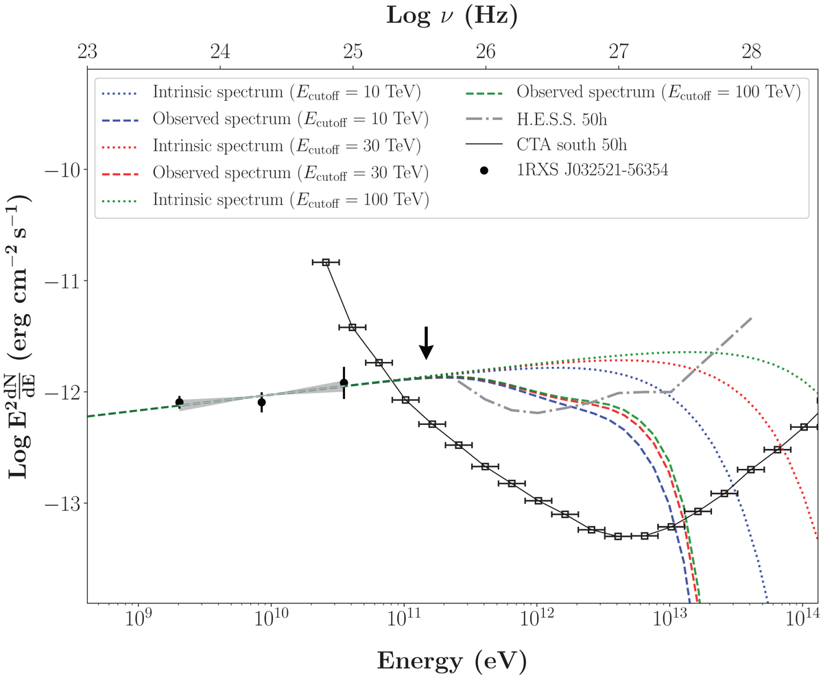
Fig. 2.

image

Extrapolation to the very high energies of the spectrum of the EHBL object 1RXS J032521.8−56354 at z = 0.06, assuming an intrinsic power-law spectrum (dotted line) with intrinsic exponential cutoff energies at 10, 30, and 100 TeV (the three dotted lines, see text). The short-dashed lines are the corresponding EBL-absorbed spectra from FR2017. The CTA-south 50 h sensitivity is also shown in energy bins.

Current usage metrics show cumulative count of Article Views (full-text article views including HTML views, PDF and ePub downloads, according to the available data) and Abstracts Views on Vision4Press platform.

Data correspond to usage on the plateform after 2015. The current usage metrics is available 48-96 hours after online publication and is updated daily on week days.

Initial download of the metrics may take a while.