Open Access

Fig. 6.

image

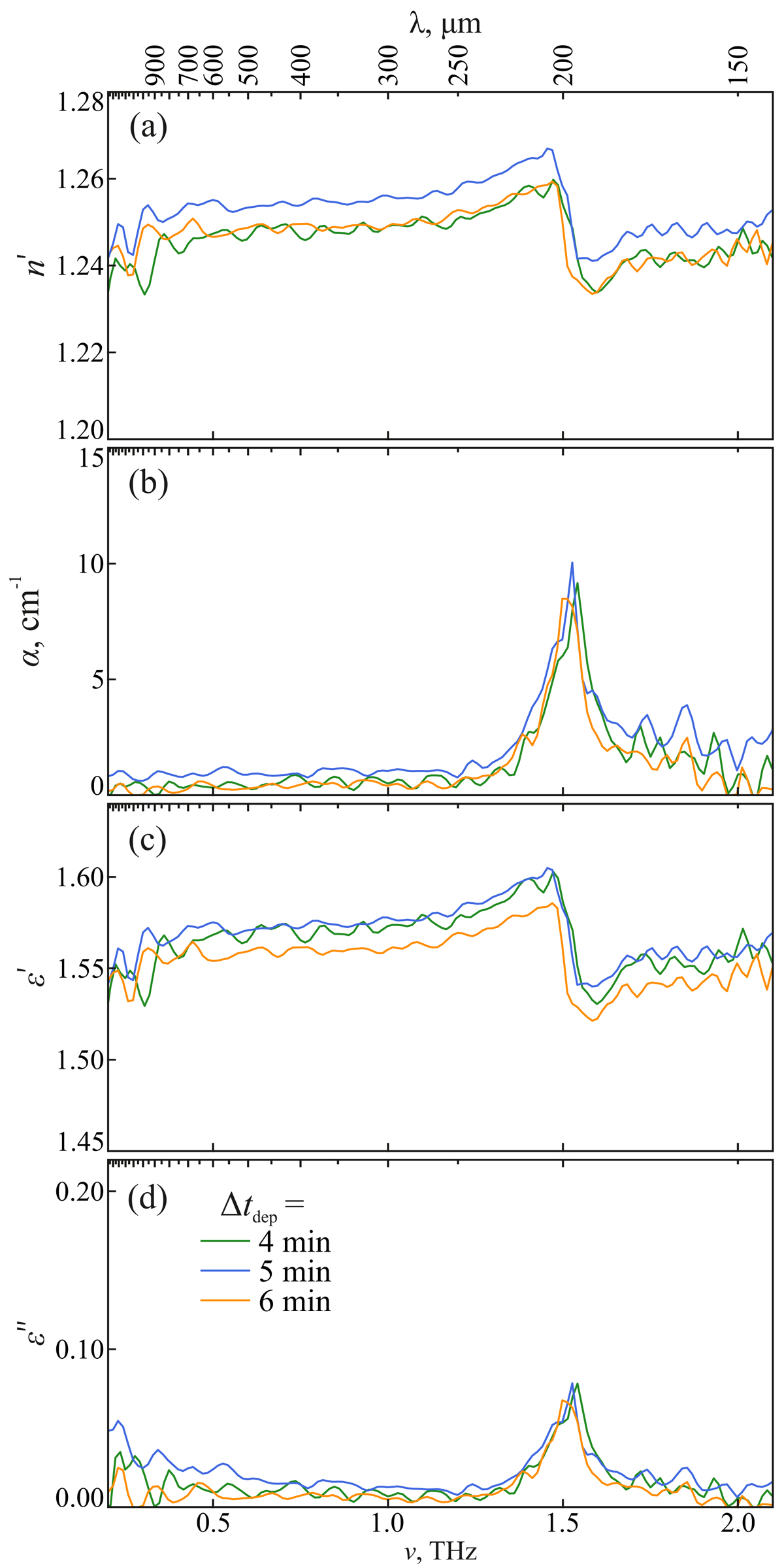
Optical properties of CO ice. (a) Real part of the refractive index, (b) amplitude absorption coefficient, and (c) real and (d) imaginary parts of the dielectric permittivity (see Eqs. (1) and (2)). For all deposition intervals, the dielectric curves demonstrate the existence of a Lorenz-like absorption peak, centred near 1.5 THz and featuring similar bandwidth. Distortions of the results seen at frequencies below 0.3 THz (such as an oscillatory character of n and ε′ and an increase of ε″ with decreasing frequency) are due to diffraction effects (see Sect. 2.2).

Current usage metrics show cumulative count of Article Views (full-text article views including HTML views, PDF and ePub downloads, according to the available data) and Abstracts Views on Vision4Press platform.

Data correspond to usage on the plateform after 2015. The current usage metrics is available 48-96 hours after online publication and is updated daily on week days.

Initial download of the metrics may take a while.