Free Access

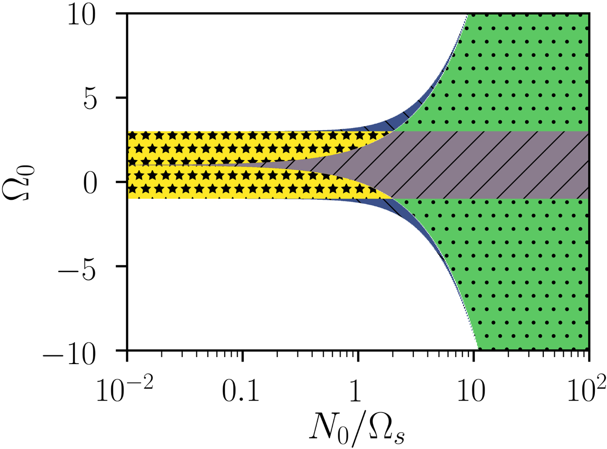
Fig. 2.

image

Domains of existence of sub-harmonic resonances (13), as a function of Ω0 = Ωorbs and N0s. In white regions, no waves can satisfy sub-harmonic resonance condition (13). Stars (yellow area): hyperbolic waves ℋ1. Right slash (purple area): hyperbolic waves ℋ2. Dots (green area): elliptic waves ℰ1. Back slash (blue area): elliptic waves ℰ2. The classical allowable region of tidal instability (for neutral fluids) is −1 ≤ Ω0 <  3. wave-like domains [ℋ1, ℋ2] are illustrated in Fig. 3. Similarly, wave-like domains [ℰ1, ℰ2] are illustrated in Fig. 4.

Current usage metrics show cumulative count of Article Views (full-text article views including HTML views, PDF and ePub downloads, according to the available data) and Abstracts Views on Vision4Press platform.

Data correspond to usage on the plateform after 2015. The current usage metrics is available 48-96 hours after online publication and is updated daily on week days.

Initial download of the metrics may take a while.