Free Access

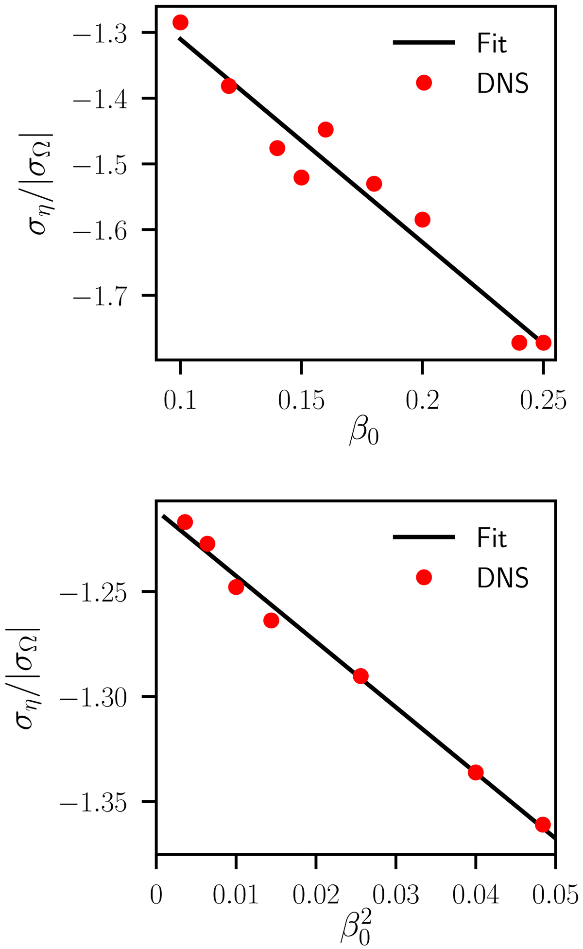
Fig. 8.

image

Turbulent diffusion of magnetic field by tidal instability, as a function of equatorial ellipticity β0. Ratio ση/|σΩ|, with ση the global decay rate (44) and σΩ the free decay rate (46) without tides. Simulations at Ω0 = 0, Ek = 10−4, Pr = 1 and Pm = 0.1. Solid lines are the least-squares fits. Top panel: weakly stratified regime (N0s = 0), with ση/|σΩ|= − 3.09 β0 − 1.00. Bottom panel: strongly stratified regime (N0s = 10) with .

Current usage metrics show cumulative count of Article Views (full-text article views including HTML views, PDF and ePub downloads, according to the available data) and Abstracts Views on Vision4Press platform.

Data correspond to usage on the plateform after 2015. The current usage metrics is available 48-96 hours after online publication and is updated daily on week days.

Initial download of the metrics may take a while.