Free Access

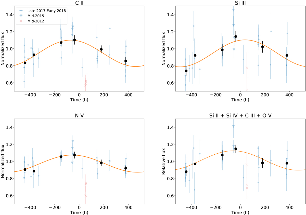
Fig. 4

image

Rotational modulation of fluxes of C II doublet, Si III line, N V doublet, and combined fluxes of Si II, Si IV, C III, and O V lines in the COS spectra, assuming that epoch mid-2015 is affected by the same active region or longitude. The light curves were phase-folded to the rotational period of the star GJ 436 (44.09 d); the amplitude and baseline are measured in fraction of the mean average flux. The black data points are bins of groups of observations near the same phase. The fits were performed to the orbit-to-orbit data and not to the binned data.

Current usage metrics show cumulative count of Article Views (full-text article views including HTML views, PDF and ePub downloads, according to the available data) and Abstracts Views on Vision4Press platform.

Data correspond to usage on the plateform after 2015. The current usage metrics is available 48-96 hours after online publication and is updated daily on week days.

Initial download of the metrics may take a while.