Free Access

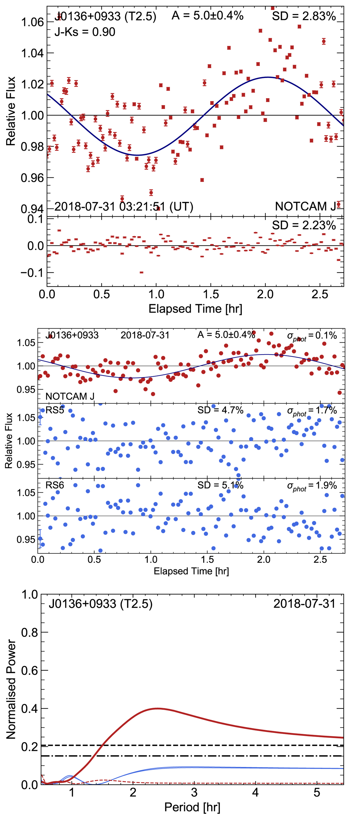
Fig. 4.

image

Same type of plots as for J0136 in Fig. 3, here illustrating the robustness of differential photometry by showing the result from only using two of the worst available RS. With only two, their light curves will be near perfect reflections of each other, but the target light curve is still remarkably well corrected. This supports the conclusion that the variability detected in the observation of J0138−0322 (2018) is significant, despite a lack of available RS.

Current usage metrics show cumulative count of Article Views (full-text article views including HTML views, PDF and ePub downloads, according to the available data) and Abstracts Views on Vision4Press platform.

Data correspond to usage on the plateform after 2015. The current usage metrics is available 48-96 hours after online publication and is updated daily on week days.

Initial download of the metrics may take a while.