Open Access

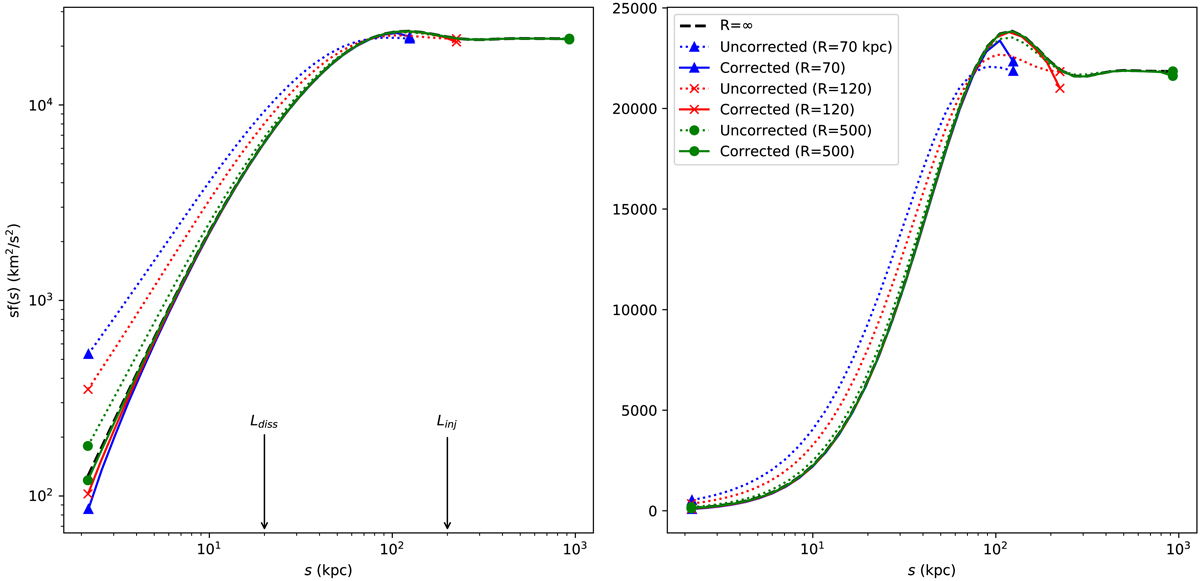
Fig. D.3.

image

Impact of finite-sized corrections on the mean structure functions computed according to our model. The domain of analysis is a circle of radius R. Both panels show the same data, in logarithmic or linear scales. The emissivity model is of type Xbeta with a core radius rc = 400 kpc. The turbulent power spectrum has injection and dissipation scales Linj and Ldiss respectively. The thick dashed line is barely visible and shows the exact result obtained assuming an infinitely extended analysis domain. Points at large separations s are subject to slight numerical instabilities.

Current usage metrics show cumulative count of Article Views (full-text article views including HTML views, PDF and ePub downloads, according to the available data) and Abstracts Views on Vision4Press platform.

Data correspond to usage on the plateform after 2015. The current usage metrics is available 48-96 hours after online publication and is updated daily on week days.

Initial download of the metrics may take a while.