Open Access

Fig. E.2.

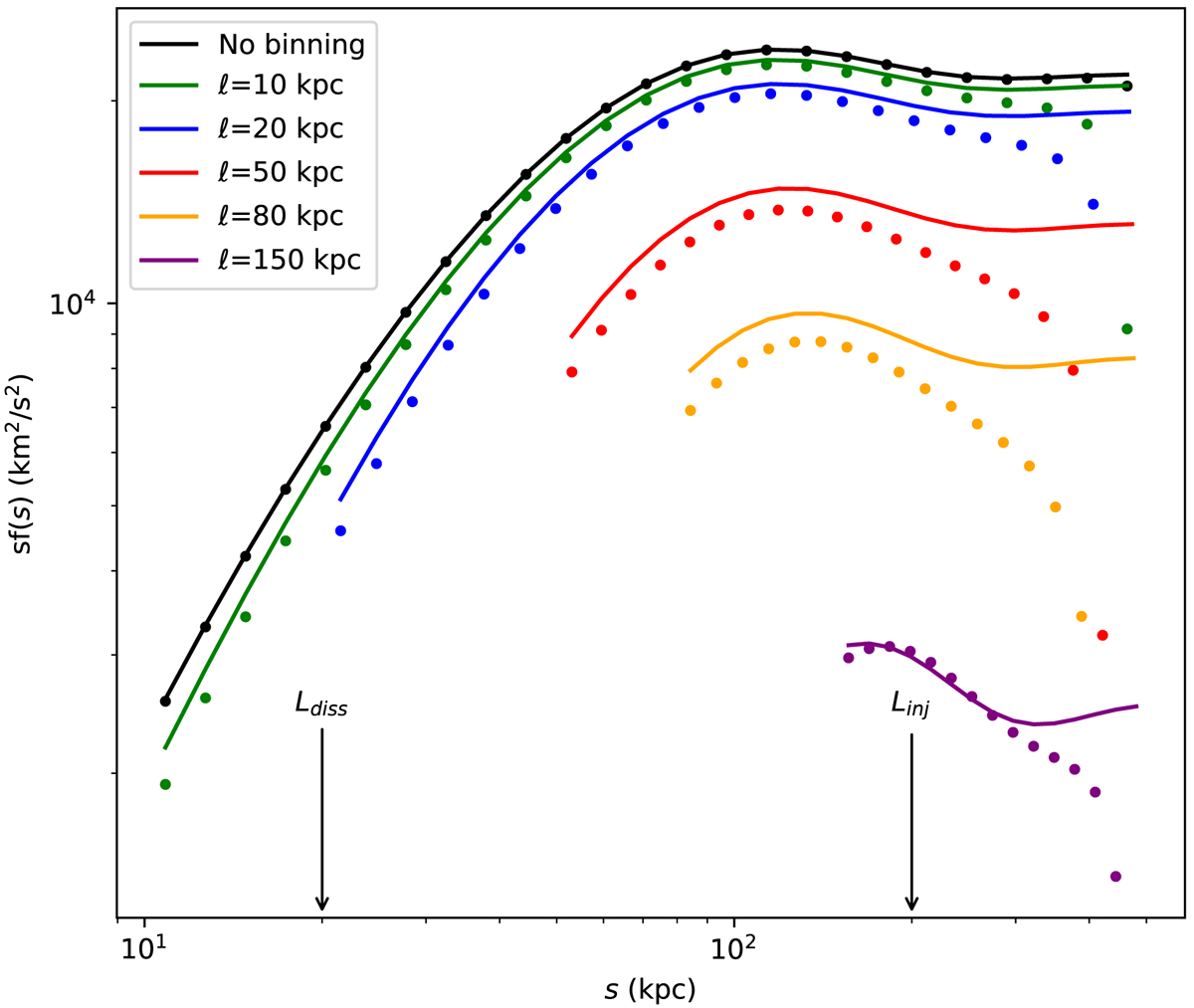
image

Analytical implementation of binning with pixels of size ℓ in the computation of the average structure function. The turbulent velocity field and the cluster emissivity of type Xbeta are both identical to Fig. D.3. Plain lines show exact results using the stationary, unbounded (R = ∞) velocity field, effectively replacing P2D by in Eq. (12). Dots are obtained by combining the correction formula Eq. (D.4) for a circular domain of radius R = 250 kpc, with the prescription P2D → PP2D. Since the latter is only valid for slowly-varying flux maps, it fails to reproduce the true structure function if pixels are of a sizeable length with respect to R.

Current usage metrics show cumulative count of Article Views (full-text article views including HTML views, PDF and ePub downloads, according to the available data) and Abstracts Views on Vision4Press platform.

Data correspond to usage on the plateform after 2015. The current usage metrics is available 48-96 hours after online publication and is updated daily on week days.

Initial download of the metrics may take a while.