Open Access

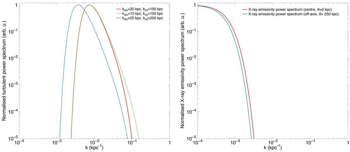
Fig. 1.

image

Example of power spectra used in the simulations. Left: turbulent power spectra used in the simulation for different injections and dissipation scales. Right: normalised spectrum of X-ray emissivity of the Coma model at the centre used to compute Cn (||θ||2 = 0 kpc, red) and off-axis (||θ||2 = 250 kpc, blue).

Current usage metrics show cumulative count of Article Views (full-text article views including HTML views, PDF and ePub downloads, according to the available data) and Abstracts Views on Vision4Press platform.

Data correspond to usage on the plateform after 2015. The current usage metrics is available 48-96 hours after online publication and is updated daily on week days.

Initial download of the metrics may take a while.